DOi:10.16111/j.0258_7106.2016.06.005
罗布泊盐湖富钾卤水成因再探讨——碎屑层卤水蒸发实验分析
(1 中国地质科学院矿产资源研究所 国土资源部成矿作用与资源评价重点实验室, 北京 100037; 2 国投新疆 罗布泊钾盐有限责任公司, 新疆 哈密839000; 3 中国科学院青 海盐湖研究所, 青海 西宁810008)
第一作者简介孙小虹, 女, 1983年生, 博士后, 高级工程师, 矿产普查与勘探专业 。 Email: sxhbei@163.com
收稿日期2016_09_30;
改回日期2016_10_21
本文得到国家自然科学基金重点项目(编号:40830420)资助
摘要:罗布泊盐湖钙芒硝岩孔隙中蕴藏有超大型规模的卤水钾矿,富钾卤水 成因一直备受 关注。罗北凹地从统一的罗布泊大湖区中分隔出来后,成盐过程中其湖水仍以南部大湖的补 给为主,罗北凹地卤水化学演化与“大耳朵"湖水密切相关。“大耳朵"湖区含石膏碎屑层普 遍 储藏有卤水,应该是罗北凹地盐湖的“源卤水",钾离子(ρ(K+)为3.12 g/L 左右 )已初步富集,平均矿化度为198.83 g/L。为了查明该卤水的化学演化趋势及析盐序列, 笔者于2009年、2010年两次采集了大量卤水样品,分别进行室内等温蒸发和自然蒸发实验。 蒸发 实验结果表明:随着卤水浓缩首先析出(硬)石膏,随后析出大量石盐,最后出现少量钾石 盐和光卤石,与EQL/EVP卤水蒸发模型模拟结果相似。将碎屑层卤水蒸发过程中化学组成变 化与罗北凹地卤水进行对比,结果显示罗布泊古湖水蒸发至石膏沉积之后,在罗北凹地水化 学组成明显发生变化,没有大量石盐沉积,而以钙芒硝沉积为主。推测应是受到深 部“富钙水"的持续补给,而“大耳朵”湖起到“预备盆地"的作用,罗布泊古湖水经“大耳 朵"湖蒸发浓缩后,钾离子得到初步富集,在流入罗北凹地后与深部"富钙"水混合,强烈蒸 发浓缩,大量钙芒硝矿物析出,最后形成富钾卤水。
关键词:
地球化学;蒸发实验;化学演化;富钾卤水;“大耳朵"干盐湖;罗布 泊
文章编号: 0258_7106 (2016) 06_1190_15 中图分类号: P618.31 文献标志码:A
A further discussion on genesis of potassium_rich brine in Lop Nur: Evaporating
experiments for brine in gypsum_bearing clastic strata
experiments for brine in gypsum_bearing clastic strata
(1 MRL Key Laboratory of Metallogeny and Mineral Assessment, Institute of Minera l Resources, Chinese Academy of Geological Sciences, Beijing 100037, China; 2 SDIC Xinjiang Lop Nur Potash Co., Ltd., Hami 839000, Xinjiang, China; 3 Qin ghai Institute of Salt Lakes, Chinese Academy of Sciences, Xining 8100 08, Qinghai, China)
Abstract: The “Great Ear" playa is located in the southern part of Lop Nur. The southern G reat Lakes water was still the main supply to Luobei depression after the separa tion of Luobei depres sion from the unified Lop Nur region. Brine chemical evolution in Luobei depress ion is closely related to the “Great Ear". Brine in gypsum_bearing clastic stra ta in “Great Ear" is confined brine, and potassium (about 3.12 g/L) has been i nitially enriched with a salinity of 198.83 g/L. In 2009 and in 2010, the autho rs took a large amount of brines and carried out the isothermal evaporating and natural evaporating experiments in order to investigate the evolving tendency of the brine. The evaporating experimental results show that gypsum was first sepa rated with the brine concentration, and then a large amount of halite and a smal l amount of sylvite and carnallite were separated finally. A comparison of chemi cal co mposition during the clastic brine evaporation with the brine in Luobei shows th at the composition of ancient brine obviously changed after gypsum deposition. H uge amounts of glauberite minerals, instead of massive halite, were deposited. S o it might be continuously recharged by the deep “calcium_rich water". Therefor e, the “Great Ear" Lake acted as a “preparing basin". Potassium in the ancient la ke water was preliminarily enriched through evaporation in the “Great Ear" Lake . Then the water might be mixed with the deep “calcium_rich" water in Luobei de pr ession. Huge amounts of glauberite minerals were deposited through intense evapo ration and finally the potassium_rich brine was formed.
Key words:
geochemistry, evaporating experiment, chemical evol ution, potassium_rich brine, “Great Ear" playa, Lop Nur
卤水蒸发实验不仅是盐湖矿产资源开发利用研究的基础(高世扬等,1996;宋彭生等,2011 ;姜旭等,2013),还是蒸发岩矿床成因研究的物理化学基础(李亚文等,1994;1995;孙 大鹏等,1995),能够为探讨天然盐类沉积和变化规律提供理论依据(曲懿华等,2010)。 罗布泊盐湖位于新疆塔里木盆地东部,其次级干盐湖区主要有罗北凹地、“大耳朵"湖区、 铁 南凹地、新湖区等(图1),其中“大耳朵"湖区位于罗布泊南部,地层以石膏和粉砂黏土沉 积为主。盐类矿物相分布特征显示自中更新世以来,罗布泊湖水化学组成就表现出了南北分 异的现象,南部靠近补给源,北部远离补给源(王弭力等,2001)。罗北凹地从统一的 罗布 泊大湖区中分隔出来后,其湖水仍以南部大湖的补给为主。因此,罗北凹地卤水化学演化与 “大耳朵"湖水密切相关。“大耳朵"湖区含石膏碎屑层普遍储藏有卤水,应该是罗北凹地盐 湖的“源卤水",该卤水的蒸发实验研究至今未有报道。
罗布泊盐湖巨量钙芒硝岩晶间赋存大规模富钾卤水矿(王弭力等,2001),其成因一直备受地 质学家的关注,相继 提出“高山深盆迁移”论和“两段式"成钾论(Wang et al., 2005)、“深部上升卤水流体 补给"成钾(刘成林等,2003b)、“含水墙"成钾(刘成林等,2009;2010a)、物源_气候_ 构造各要素“极端成分"耦合成钾(Liu et al., 2015)等,这些成钾理论指导了罗布泊钾 盐大规模勘查和扩大找矿工作。然而,富钾卤水成因及其与储层钙芒硝岩的关系尚未完全查 清。国内外 学者关于钙芒硝成因,主要有交代石膏成因(Hardie, 1968;刘成林等,2003a)、直接从 硫 酸盐溶液中晶出的原生成因(杨清堂,1989)、钙钠硫酸盐脱水形成的次生成因(谷树起等 ,1986)以及生物化学成因(魏东岩,2001)等观点。研究表明,上述各种成因在同一个钙 芒 硝矿床中往往都存在(魏东岩,1988;朱井泉等,1989),而原生成因观点只是根据钙芒硝 产出状态推断的,至今未见直接从硫酸盐溶液中析出钙芒硝矿物的报道。罗布泊盐湖钙芒硝 的形成受多种因素的影响(刘成林等,2002;2003a;2007),研究发现钙芒硝晶体内常含 有 一些残留石膏晶体,说明相当部分的钙芒硝系交代石膏而成(刘成林等,2003a)。另一种 观 点是在对罗布泊现代卤水化学组成相图的分析基础之上,开展室内卤水加入“富钙"水的蒸 发结晶 实验,获得水钙芒硝,认为水钙芒硝脱水转变为钙芒硝是罗布泊钙芒硝的形成机制之一(刘 成林等,2006)。赵海彤等(2014)通过研究罗布泊干盐湖钙芒硝晶体形貌与沉积环境条 件,认为不同晶体形态及形态组合的钙芒硝是湖盆不同位置的湖水在干热气候条件下蒸 发 沉积的产物。可见罗布泊盐湖的钙芒硝成因没有完全查明,钙芒硝矿物如何结晶形成需 要进一步研究。本文通过室内等温蒸发和自然蒸发实验研究,揭示“大耳朵"湖区含石膏碎 屑 层卤水的演化过程和析盐规律,并与EQL/EVP模型模拟结果及地层盐类矿物组合进行对比, 探讨了罗布泊富钾卤水成因,对进一步揭示罗布泊盐湖形成演化及钙芒硝成因具有重要意义 。
自然蒸发实验卤水样于2010年6月被采集,在罗布泊罗中地区室外进行。实验前,挖掉地表 盐壳(厚约40 cm),待场地填平后放上简易蒸发容器(铁皮桶,直径为120 cm;高度为80 cm);另在附近平坦地方放上小型蒸发容器(铁皮桶,直径为45 cm;高度为49 cm)。同时 进行两组实验,均在有盐类析出和相变时分别取固相和液相样品。实验1:将卤水(约723 L )置于大桶进行自然蒸发,在取样时进行固液分离;实验2:将卤水(约50 L)置于小桶进 行自然蒸发,在取样时不进行固液分离。每日5次(8∶00~20∶00,隔3 h一次)定时 观测 卤水温度、水量变化及析盐情况等;借助偏光显微镜观察新析出的固相,取样以新固相析出 或蒸发水量来判断。 1.4分析方法
实验中测定液相和固相样品主要离子含量的方法如下: K+、Na+、Mg2+ 、Ca2+、Li+、Rb+、Sr2+均采用原子吸收分光光度计测定;Cl-采用硝 酸银沉淀滴定法;SO2-4采用硫酸钡重量法;Br-采用容量法。固相样品盐类矿物 鉴定主要采用X射线衍射及扫描电镜/能谱分析。
30℃和50℃等温蒸发析盐规律大致相同,首先析出(硬)石膏,当卤水浓缩到密度为1.215 g/L时,开始析出石盐,直到最后蒸干,卤水密度最高为1.239 g/L,
仍大量析出石盐。石 盐在析出过程中逐渐由细粒—中粒—粗粒。通过扫描电镜能谱/分析,发现30℃蒸发过程中 母 液夹带少量光卤石和钾石盐(图3a),而50℃蒸发过程中母液夹带少量光卤石和氯化镁矿物 (图3b)。
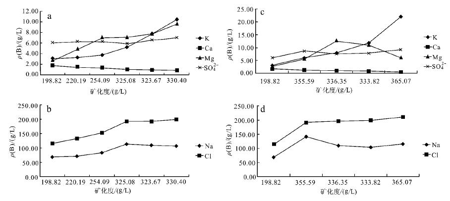
图4显示30℃、50℃等温蒸发过程中“大耳朵"湖区含膏碎屑层卤水主要元素的变化规律。
K+: 两组实验中变化规律基本一致,蒸发过程中随卤水失水量增大,含量不断上升。
SO2-4: 两组实验中变化规律也基本相同。(硬)石膏析出阶段,含量稍有降低; (硬)石膏析出阶段结束后,因无硫酸盐再析出,含量开始逐渐增大。
Ca2+: 两组实验中变化规律基本一致。(硬)石膏析出阶段,含量逐渐降低;(硬 )石膏析出阶段结束后,含量保持稳定。
Mg2+: 蒸发前期,两组实验中Mg2+均处于富集状态,含量上升较快;之后, 因蒸发过程中一直未有镁盐析出,前者(30℃)Mg2+含量一直保持上升趋势,而后者 (50℃)Mg2+含量先下降,再升高,可能是高温,母液夹带较多的缘故。
Na+: 两组实验中变化规律基本一致。蒸发前期处于富集阶段,含量不断上升;开始析出 石盐后,含量稍有下降,趋势缓慢。50℃蒸发,(硬)石膏析出阶段时间短,所以Na+前 期富集阶段时间比30℃蒸发短。
Cl-: 变化与Na+相似,蒸发前期处于富集阶段,析出石盐后,含量稍有下降,趋势缓 慢。
图6显示“大耳朵"湖区含膏碎屑层卤水在自然蒸发过程中主要元素的变化规律。
K+: 随蒸发作用的进行,含量不断上升。
SO2-4: 石膏析出阶段,含量逐渐降低;随着石膏析出结束其含量逐渐增大。分离 取样实验到蒸发的最后阶段,SO2-4含量下降(图6a),但析出固相未检测出硫酸 盐矿物,与实际不符。
Ca2+: 石膏析出阶段,含量逐渐降低;之后含量保持稳定。
Mg2+: 变化与K+相似,蒸发过程中含量不断上升。
Na+: 蒸发前期处于富集阶段,含量不断上升;开始析出石盐后,含量稍有下降,趋势缓 慢。
Cl-: 变化与Na+相似,蒸发前期处于富集阶段,析出石盐后,含量呈缓慢下降趋势。
3EQL/EVP模型模拟卤水析盐规律
EQL/EVP卤水蒸发模型是基于Pitzer s 离子相互作用理论,采用Newton_Raphson算法求解线 性质量_平衡方程组和非线性质量_活度方程组的卤水化学演化平衡模型,可定量计算卤水体 系中各离子的富集特征,以及盐类矿物的蒸发析出序列及析出量(Risacher et al., 2001 )。刘成林等(2010b)和Ma等(2010)用该模型对罗布泊主要入流河水——塔里木河水进 行了模拟,模拟结果与罗布泊盐湖实际化学沉积及丰度较为接近。
利用EQL/EVP模型对“大耳朵"湖区含石膏碎屑层承压卤水进行模拟,模拟温度分别为30℃和 5 0℃,对应二氧化碳分压分别为10-2.17和10-2,模拟过程在封闭系统和开放 系统内分别进行 。封闭系统是指,在整个蒸发过程中,卤水及析出的盐类矿物始终在一个系统内,允许卤水 与矿物发生反应。而开放系统是指,在卤水蒸发过程中,一旦有盐类矿物析出,便将其从系 统内取出,不存在卤水与矿物间的反应。
30℃开放系统模拟结果(图7a)显示有11种盐类矿物析出,随卤水浓缩系数的增大,其析出 序列及矿物组合为:
(1) 石膏+方解石(少)
(2) 石盐+石膏(少)+方解石(少)
(3) 石盐+石膏(少)+方解石(少)+水菱镁矿(极少)+杂卤石(极少)+ pensalt(C 5KS6)(极少)
(4) 石盐+石膏(少)+方解石(少)+钾石盐(少)+水菱镁矿(极少)+杂卤石(极少)+ pensalt(C5KS6)(极少)
(5) 石盐+石膏(少)+方解石(少)+钾石盐(少)+钾盐镁矾(极少)+水菱镁矿(极少 )+杂卤石(极少)+ pensalt(C5KS6)(极少)
(6) 石盐+石膏(少)+方解石(少)+钾石盐(少)+光卤石(少)+钾盐镁矾(极少)+水 菱镁矿(极少)+杂卤石(极少)+ pensalt(C5KS6)(极少)
(7) 石盐+石膏(少)+方解石(少)+钾石盐(少)+光卤石(少)+钾盐镁矾(极少)+硫 酸镁(极少)+水菱镁矿(极少)+杂卤石(极少)+ pensalt(C5KS6)(极少)
(8) 石盐+石膏(少)+方解石(少)+钾石盐(少)+光卤石(少)+水氯镁石(少)+钾盐 镁矾(极少)+硫酸镁(极少)+水菱镁矿(极少)+杂卤石(极少)+ pensalt(C5KS6 )(极少)
30℃封闭系统模拟结果(图7b)显示有10种盐类矿物析出,随卤水浓缩系数的增大,其析出 序列及矿物组合为:
(1) 石膏+方解石(少)
(2) 石盐+石膏(少)+方解石(极少)
(3) 石盐+水菱镁矿(极少)+ pensalt(C5KS6)(极少)
(4) 石盐+水菱镁矿(极少)+ pensalt(C5KS6)(极少)+杂卤石(极少)
(5) 石盐+钾石盐(少)+ pensalt(C5KS6)(极少)+杂卤石(极少)+水菱镁矿( 极少)
(6) 石盐+光卤石(少)+杂卤石(极少)+水菱镁矿(极少)
(7) 石盐+石膏(少)+光卤石(少)+硫酸镁(极少)+水菱镁矿(极少)
(8) 石盐+石膏(少)+光卤石(少)+硫酸镁(极少)+水氯镁石(极少)+水菱镁矿(极 少)
50℃开放系统模拟结果(图7c)显示有10种盐类矿物析出,随卤水浓缩系数的增大,其析出 序列及矿物组合为:
(1) 硬石膏+方解石(少)
(2) 石盐+硬石膏(少)+方解石(少)
(3) 石盐+硬石膏(少)+方解石(少)+水菱镁矿(极少)
(4) 石盐+硬石膏(少)+方解石(少)+水菱镁矿(极少)+杂卤石(极少)
(5) 石盐+硬石膏(少)+方解石(少)+钾石盐(少)+水菱镁矿(极少)+杂卤石(极少 )
(6) 石盐+硬石膏(少)+方解石(少)+钾石盐(少)+钾盐镁矾(极少)+水菱镁矿(极 少)+杂卤石(极少)
(7) 石盐+硬石膏(少)+方解石(少)+钾石盐(少)+光卤石(少)+钾盐镁矾(极少)+ 水菱镁矿(极少)+杂卤石(极少)
(8) 石盐+硬石膏(少)+方解石(少)+钾石盐(少)+光卤石(少)+钾盐镁矾(极少)+ 硫酸镁(极少)+水菱镁矿(极少)+杂卤石(极少)
(9) 石盐+硬石膏(少)+方解石(少)+钾石盐(少)+光卤石(少)+水氯镁石(少)+钾 盐镁矾(极少)+硫酸镁(极少)+水菱镁矿(极少)+杂卤石(极少)
50℃封闭系统模拟结果(图7d)显示有9种盐类矿物析出,随卤水浓缩系数的增大,其析出 序列及矿物组合为:
(1) 硬石膏+方解石(少)
(2) 石盐+硬石膏(少)+方解石(少)
(3) 石盐+硬石膏(少)+水菱镁矿(极少)
(4) 石盐+硬石膏(少)+杂卤石(少)+水菱镁矿(极少)
(5) 石盐+硬石膏(少)+钾石盐(少)+杂卤石(少)+水菱镁矿(极少)
(6) 石盐+硬石膏(少)+光卤石(少)+杂卤石(极少)+水菱镁矿(极少)
(7) 石盐+硬石膏(少)+光卤石(少)+硫酸镁(极少)+水菱镁矿(极少)
(8) 石盐+硬石膏(少)+光卤石(少)+硫酸镁(极少)+水氯镁石(极少)+水菱镁矿( 极少)
EQL/EVP卤水蒸发模拟结果表明,“大耳朵"湖区含膏碎屑层卤水30℃蒸发析出的盐类矿物以 石膏、石盐为主,50℃蒸发以硬石膏和石盐为主,另外在蒸发初期还析出少量方解石(30℃ 和50℃蒸发过程中析出量分别在0~9.6%和0~5.3%),后期析出少量钾石盐(含量小于1 .7%) 、光卤石(含量小于2.5%)和水氯镁石(含量小于2.3%)以及极少量的钾盐镁矾(含量小 于0.5%)、硫酸镁(含量小于0.6%)、杂卤石(含量小于0.3%)和水菱镁矿(含量小于0 .01%)等。其中,极少量的钾盐镁矾仅在开放系统模拟过程有析出。
将蒸发实验所用卤水和塔里木河水的主要离子含量及比值进行对比,结果(表6)发现“大 耳 朵"湖区含膏碎屑层卤水相对贫SO2-4和Ca2+、富K+。而罗布泊盐湖的补给 来源主要是塔里木 盆地中西部的地表河流,水化学调查显示(Bo et al., 2013),塔里木流域水化学具“富 硫 酸根和钾、贫氯"背景特征,这可能就是导致罗布泊盐湖化学沉积出现巨量钙芒硝而石盐很 少的原因。与“大耳朵"湖区卤水样品的锶同位素组成(87Sr/86Sr 比值为0.711 164)相比,罗北凹地卤水样品的87Sr/86Sr 比值(0.710 61)(刘成林等,1999b)明显偏小。推测在罗北凹地有 87Sr/86Sr比值更低的卤水补给,并与“大耳朵"湖水补给发生混 合,具有更低87Sr/86Sr比值的卤水很可能是深部地层水。该地 区很多流体上升通道或遗迹(刘成林等,2003b )以及一系列地堑式张性断裂带(Liu et al., 2006)的发现,均被认为是存在深部地层水 (富钙)补给的证据。
表7对比了罗布泊“大耳朵"含石膏碎屑层(早中更新统)卤水1及其蒸发至石膏析出后石盐 开 始析出时卤水2与罗北凹地钙芒硝晶间卤水3的组成特征,卤水2耶奈克指数2K高于卤水3,而 卤水3的耶奈克指数SO4高于卤水2。将卤水样品耶奈克指数投影在的25℃ Ca2+重叠 的K+、Na+、Mg2+、Cl-、SO2-4_H2O六元体系相图上(图5),可以 看出,罗北凹地钙芒硝晶间卤水分布于钙芒硝相区,与罗北凹地盐类矿物以钙芒硝为主的组 合特征相吻合,而碎屑层卤水蒸发 至石膏析出后,即析出石盐,其组成点向右上移至钾石盐相区。早_中更新世,罗布泊古湖 水中钾离子已初步富集到3.12 g/L左右,形成“含钾卤水",该卤水如果正常蒸发浓缩将在 石膏沉积之后析出石盐,石盐开始析出时卤水中ρ(K+)可达5.90 g/L左右, 而 事实上盐湖沉积中心不断向北收缩,在中更新世晚期罗北凹地石膏沉积相对减少,没有大量 石盐沉积,而 以钙芒硝沉积为主。表明罗布泊古湖水蒸发至石膏沉积之后,在罗北凹地应不断受 到“富钙水"的补给,致使水化学组成点发生变化,转移到钙芒硝相区,持续析出钙芒硝矿 物。罗北凹地钙芒硝晶间卤水浓缩程度较高(ρ(K+)达9.27 g/L,表7),其 古湖水不直接由当时塔里木河水补给,而是经南部“大耳朵"湖蒸发浓缩后再向它补 给,即“大耳朵"湖起着“预备盆地"的作用。
“大耳朵"湖区地层常见咸水湖相石膏沉积(王弭力等,2001),浅部为含粉砂石盐沉积( 盐 壳),以石盐为主,发现少量光卤石和杂卤石等(Ma et al., 2009)。但“大耳朵"湖区地 层中也有少量钙芒硝沉积。该湖区西北部耳北凹地最深的钻孔ZKD0303
(40°23′45″N,90 °32′51″E)沉积物研究(“罗布泊及邻区盐湖钾盐资源评价研究"专题报告,2005)显示 , 盐壳下面可见少量钙芒硝矿物。另外,“大耳朵"湖区东部一个浅坑QK1(40°10.949′N ,91°10.490′E)剖面岩性如图8所示,盐壳下面为含钙芒硝泥质粉砂,钙芒硝晶形为菱 板状 ,呈分散分布。因此,推断早更新世—中更新世早中期,塔里木河水流经“大耳朵"湖,因 蒸 发作用,析出大量石膏,所以卤水中相对贫Ca2+和SO2-4。中更新世晚期— 晚 更新世,受新构造运动影响,罗布泊最大的成盐盆地——罗北凹地形成,相对富硫酸根和钾 离 子的塔里木河水经“大耳朵"湖初步蒸发浓缩后,形成“含钾卤水",随着石膏的析出,卤水 中钾离子进一步富集,随后对罗北凹地进行了持续补给,同时在富钙离子的深部水补给下形 成钙芒硝。而在南部“大耳朵"湖区,可能由于塔里木河水停留时间短或者深部富钙水补给 的缺乏,因而仅形成少量钙芒硝矿物,同时进一步证明了钙芒硝矿物的形成应需要“富钙" 水持续补给(刘成林等,2007)的观点,该“富钙"水可能为深部地层水(或油田水)。
(2) 碎屑层卤水蒸发过程中化学组成变化与罗北凹地卤水对比结果表明:罗布泊古湖水蒸发 至石膏沉积之后,钾离子得到初步富集,罗北凹地卤水继续蒸发浓缩;南部“大耳朵”湖, 卤水化学组成基本保持稳定,为罗北凹地起到“预备成钾”的作用。
(3) 罗北凹地古盐湖卤水没有析出大量石盐,而以钙芒硝沉积为主,推测应是受到深部“富 钙水”的持续补给,强烈蒸发浓缩,最后形成富钾卤水。
志谢感谢国投新疆罗布泊钾盐有限公司矿产资源部陈伟、杨宝恒等对野外自然 蒸发实验 工作的支持和帮助;感谢宣之强老师、王英素老师、刘宝坤等在样品扫描电子显微镜/能谱 分析、化学分析以及X射线衍射分析中的大力帮助!
罗布泊盐湖巨量钙芒硝岩晶间赋存大规模富钾卤水矿(王弭力等,2001),其成因一直备受地 质学家的关注,相继 提出“高山深盆迁移”论和“两段式"成钾论(Wang et al., 2005)、“深部上升卤水流体 补给"成钾(刘成林等,2003b)、“含水墙"成钾(刘成林等,2009;2010a)、物源_气候_ 构造各要素“极端成分"耦合成钾(Liu et al., 2015)等,这些成钾理论指导了罗布泊钾 盐大规模勘查和扩大找矿工作。然而,富钾卤水成因及其与储层钙芒硝岩的关系尚未完全查 清。国内外 学者关于钙芒硝成因,主要有交代石膏成因(Hardie, 1968;刘成林等,2003a)、直接从 硫 酸盐溶液中晶出的原生成因(杨清堂,1989)、钙钠硫酸盐脱水形成的次生成因(谷树起等 ,1986)以及生物化学成因(魏东岩,2001)等观点。研究表明,上述各种成因在同一个钙 芒 硝矿床中往往都存在(魏东岩,1988;朱井泉等,1989),而原生成因观点只是根据钙芒硝 产出状态推断的,至今未见直接从硫酸盐溶液中析出钙芒硝矿物的报道。罗布泊盐湖钙芒硝 的形成受多种因素的影响(刘成林等,2002;2003a;2007),研究发现钙芒硝晶体内常含 有 一些残留石膏晶体,说明相当部分的钙芒硝系交代石膏而成(刘成林等,2003a)。另一种 观 点是在对罗布泊现代卤水化学组成相图的分析基础之上,开展室内卤水加入“富钙"水的蒸 发结晶 实验,获得水钙芒硝,认为水钙芒硝脱水转变为钙芒硝是罗布泊钙芒硝的形成机制之一(刘 成林等,2006)。赵海彤等(2014)通过研究罗布泊干盐湖钙芒硝晶体形貌与沉积环境条 件,认为不同晶体形态及形态组合的钙芒硝是湖盆不同位置的湖水在干热气候条件下蒸 发 沉积的产物。可见罗布泊盐湖的钙芒硝成因没有完全查明,钙芒硝矿物如何结晶形成需 要进一步研究。本文通过室内等温蒸发和自然蒸发实验研究,揭示“大耳朵"湖区含石膏碎 屑 层卤水的演化过程和析盐规律,并与EQL/EVP模型模拟结果及地层盐类矿物组合进行对比, 探讨了罗布泊富钾卤水成因,对进一步揭示罗布泊盐湖形成演化及钙芒硝成因具有重要意义 。
|
图 1罗布泊地区地质图(据刘成林等,2003b) 1—全新统冲积物; 2—全新统化学和湖积物; 3—全新统化学沉积物; 4—上更新统和全 新统风积物; 5—上更新统和全新统洪积物; 6—中上更新统化学沉积物; 7—山区基岩 ; 8—钻孔及编号 Fig. 1Geological map of Lop Nur in Xinjiang(modified after Liu et al.,2003b ) 1—Holocene alluvial sediments; 2—Holocene chemical and lacustrine sediments; 3—Holocene chemical sediments; 4—Upper Pleistocene and Holocene aeolian sedi ments; 5—Upper Pleistocene and Holocene diluvia sediments; 6—Middle Pleistoc ene and Upper Pleistocene chemical sedi_ ments; 7—Mountain bedrock; 8 —Drill hole and its serial number |
1实验
1.1野外自然蒸发气候特征
罗布泊地区现代属于干热气候(王弭力等,2001),具有降水量小、蒸发量高、温差大及风 力强等典型的大陆性干旱气候特征。夏季为大风季节,天 气炎热,最高气温大于40℃。笔者于2010年7月 12日至9月11日在罗中地区进行卤水自然蒸发实验过程中,每日5次(8∶00~20 ∶00,隔3 h一次)定时观测气温、湿度及风速;另用温湿度记录仪自动记录每天的环境 温度和湿度。结果(图2)显示,2010年7月到9月温度总体有下降趋势,平均为28.72℃, 最 高达44.2℃;日温差平均16℃;湿度变化较大(8.94%~46.53%),平均值为21 .94%。据观测,风速变化0.06~12.63 m/s,平均值为3.07 m/s。
|
图 2罗中地区2010年7月至9月实测气象要素 (温度和湿度)日变化曲线 Fig. 2Diurnal variation curves of found meteorological factors (temperature and humidity) from July to September in 2010 in Lop Nur |
1.2实验原料
卤水样取自“大耳朵"湖区ZK0404孔 (40°08′55.5″N, 91°10′29″E, 图1), 为 含石 膏碎屑层承压卤水, 井深为150 m。 卤水的主要成分见表1, 为硫酸盐型卤水, 进一步划 分, 其化学类型属硫酸钠亚型。 据罗北凹地约200余个卤水化学分析结果 (王弭力等, 2001) 统 计, 罗北凹地富钾卤水密度为1.1966~1.2840 g/mL、ρ (NaCleq)为2 98 .50~410.10 g/L、ρ (K+)为5.52~12.26 g/L、ρ (Ca2+ ) 为 0.09~0.38 g/L、ρ (Mg2+)为8.45~26.95 g/L, 是富钾、钠 而贫钙、 镁的工业卤水。 卤水化学组成分析表明罗北凹地浅层卤水KCl、Na2SO4含量分布呈现出 “北低南高“的态势;MgCl2含量则在中南部较高,向北及向南呈逐渐下降的趋势;NaCl 含量表现出明显的南低北高"趋势,与硫酸钠的分布相反,水型以硫酸镁亚型为主 (王弭力等,2001)。 罗北凹地从统一的 罗布泊大湖区中分隔出来后,成盐过程中其湖水仍 以南部大湖的补给为主,“大耳朵"湖区含石膏碎屑层卤水应该是罗北凹地盐湖的“源卤水" ,两者有成因联系。
1.3 实验方法
约20 L卤水样于2009年10月被采集。其中,17 L卤水用于30℃等温蒸发实验,将卤水置于玻 璃容器中,温度用电暖气控制,精度为±1℃。另取3 L卤水放入恒温箱中进行50℃等温蒸发 实验。两组等温蒸发实验过程中,均在有盐类析出和相变时分别取固相、液相样品。自然蒸发实验卤水样于2010年6月被采集,在罗布泊罗中地区室外进行。实验前,挖掉地表 盐壳(厚约40 cm),待场地填平后放上简易蒸发容器(铁皮桶,直径为120 cm;高度为80 cm);另在附近平坦地方放上小型蒸发容器(铁皮桶,直径为45 cm;高度为49 cm)。同时 进行两组实验,均在有盐类析出和相变时分别取固相和液相样品。实验1:将卤水(约723 L )置于大桶进行自然蒸发,在取样时进行固液分离;实验2:将卤水(约50 L)置于小桶进 行自然蒸发,在取样时不进行固液分离。每日5次(8∶00~20∶00,隔3 h一次)定时 观测 卤水温度、水量变化及析盐情况等;借助偏光显微镜观察新析出的固相,取样以新固相析出 或蒸发水量来判断。 1.4分析方法
实验中测定液相和固相样品主要离子含量的方法如下: K+、Na+、Mg2+ 、Ca2+、Li+、Rb+、Sr2+均采用原子吸收分光光度计测定;Cl-采用硝 酸银沉淀滴定法;SO2-4采用硫酸钡重量法;Br-采用容量法。固相样品盐类矿物 鉴定主要采用X射线衍射及扫描电镜/能谱分析。
2实验结果
2.130℃和50℃等温蒸发实验
原始卤水的密度为1.056 g/L,矿化度为198.82 g/L,为CaSO4饱和溶液。在蒸发浓缩过 程中,其析盐顺序如下(表2、表3): 30℃和50℃等温蒸发析盐规律大致相同,首先析出(硬)石膏,当卤水浓缩到密度为1.215 g/L时,开始析出石盐,直到最后蒸干,卤水密度最高为1.239 g/L,
|
|
表 1“大耳朵"湖区含石膏碎屑层承压卤水化学组成 Table 1Main chemical composition of brine in gypsum_bearing clastic strata fro m the “Great Ear" |
|
|
图 3析出固相扫描电镜分析结果 a. 石盐晶间白色粒状光卤石; b. 石盐粒间黑色氯化镁矿物 Fig. 3Result of mineral precipitation scanning a. The white gray in halite crystal is carnallite; b. The black mineral (MgCl 2) in halite crystal |
图4显示30℃、50℃等温蒸发过程中“大耳朵"湖区含膏碎屑层卤水主要元素的变化规律。
K+: 两组实验中变化规律基本一致,蒸发过程中随卤水失水量增大,含量不断上升。
SO2-4: 两组实验中变化规律也基本相同。(硬)石膏析出阶段,含量稍有降低; (硬)石膏析出阶段结束后,因无硫酸盐再析出,含量开始逐渐增大。
Ca2+: 两组实验中变化规律基本一致。(硬)石膏析出阶段,含量逐渐降低;(硬 )石膏析出阶段结束后,含量保持稳定。
Mg2+: 蒸发前期,两组实验中Mg2+均处于富集状态,含量上升较快;之后, 因蒸发过程中一直未有镁盐析出,前者(30℃)Mg2+含量一直保持上升趋势,而后者 (50℃)Mg2+含量先下降,再升高,可能是高温,母液夹带较多的缘故。
Na+: 两组实验中变化规律基本一致。蒸发前期处于富集阶段,含量不断上升;开始析出 石盐后,含量稍有下降,趋势缓慢。50℃蒸发,(硬)石膏析出阶段时间短,所以Na+前 期富集阶段时间比30℃蒸发短。
Cl-: 变化与Na+相似,蒸发前期处于富集阶段,析出石盐后,含量稍有下降,趋势缓 慢。
2.2野外自然蒸发实验
原始卤水经过蒸发和浓缩,其析盐序列如下(表4、表5): 首先析出石膏;卤水浓缩到密 度为1.206 g/L时,开始析出石盐;之后持续蒸发,卤水密度最高为1.213 g/L,仍大量析 出石盐;最后蒸干,仍以石盐为主,含少量光卤石和钾石盐。在上述析盐过程中,卤水结晶 途径相对简单。其原始组成点位于25℃ Ca2+重叠的K+、Na+、Mg2+、Cl -、SO2-4_H2O六元体系相图的石膏相区(图5),然后随着石膏和石盐的析出, 其组成点向右上移至钾石盐相区。图6显示“大耳朵"湖区含膏碎屑层卤水在自然蒸发过程中主要元素的变化规律。
|
图 4“大耳朵"湖区含膏碎屑层卤水等温蒸发浓缩过程中主要元素含量变化 a、b. 为30℃等温蒸发; c、d. 为50℃等温蒸发 Fig. 4Changes of the content of main ions in the process of evaporation and co ncentration a&b. During 30℃ isothermal evaporation; c&d. During 50℃ isothermal evaporatio n |
|
|
图 5“大耳朵"湖区含膏碎屑层卤水自然蒸发实验析盐路线(底图引自: 曲懿华等,2010 ; 25℃ Ca2+重叠的K+、Na+、Mg2+、 Cl-、SO2-4-H2O六 元体系,图中虚线表示Ca2+重叠,Na+、Cl-饱和无需显示) Fig. 5Salt precipitation route for natural evaporation of the brine in gypsum_ bearing clastic strata (base map after Qu et al., 2010; The Ca2+_Superim posed K+,Na+,Mg2+/U=SO2-4_H2O system at 25℃ dashed line r epresents Ca2+_superimposed, Na+ and Cl- ions are saturated, so no need to display) |
|
图 6“大耳朵"湖区含膏碎屑层卤水自然蒸发主要元素含量变化图 a、b. 分离取样; c、d. 不分离取样 Fig. 6Changes of the content of main ions in the process of natural evaporatio n and concentration a&b. Separated sampling; c&d. Unseparated sampling |
SO2-4: 石膏析出阶段,含量逐渐降低;随着石膏析出结束其含量逐渐增大。分离 取样实验到蒸发的最后阶段,SO2-4含量下降(图6a),但析出固相未检测出硫酸 盐矿物,与实际不符。
Ca2+: 石膏析出阶段,含量逐渐降低;之后含量保持稳定。
Mg2+: 变化与K+相似,蒸发过程中含量不断上升。
Na+: 蒸发前期处于富集阶段,含量不断上升;开始析出石盐后,含量稍有下降,趋势缓 慢。
Cl-: 变化与Na+相似,蒸发前期处于富集阶段,析出石盐后,含量呈缓慢下降趋势。
3EQL/EVP模型模拟卤水析盐规律
EQL/EVP卤水蒸发模型是基于Pitzer s 离子相互作用理论,采用Newton_Raphson算法求解线 性质量_平衡方程组和非线性质量_活度方程组的卤水化学演化平衡模型,可定量计算卤水体 系中各离子的富集特征,以及盐类矿物的蒸发析出序列及析出量(Risacher et al., 2001 )。刘成林等(2010b)和Ma等(2010)用该模型对罗布泊主要入流河水——塔里木河水进 行了模拟,模拟结果与罗布泊盐湖实际化学沉积及丰度较为接近。
利用EQL/EVP模型对“大耳朵"湖区含石膏碎屑层承压卤水进行模拟,模拟温度分别为30℃和 5 0℃,对应二氧化碳分压分别为10-2.17和10-2,模拟过程在封闭系统和开放 系统内分别进行 。封闭系统是指,在整个蒸发过程中,卤水及析出的盐类矿物始终在一个系统内,允许卤水 与矿物发生反应。而开放系统是指,在卤水蒸发过程中,一旦有盐类矿物析出,便将其从系 统内取出,不存在卤水与矿物间的反应。
30℃开放系统模拟结果(图7a)显示有11种盐类矿物析出,随卤水浓缩系数的增大,其析出 序列及矿物组合为:
(1) 石膏+方解石(少)
(2) 石盐+石膏(少)+方解石(少)
(3) 石盐+石膏(少)+方解石(少)+水菱镁矿(极少)+杂卤石(极少)+ pensalt(C 5KS6)(极少)
(4) 石盐+石膏(少)+方解石(少)+钾石盐(少)+水菱镁矿(极少)+杂卤石(极少)+ pensalt(C5KS6)(极少)
(5) 石盐+石膏(少)+方解石(少)+钾石盐(少)+钾盐镁矾(极少)+水菱镁矿(极少 )+杂卤石(极少)+ pensalt(C5KS6)(极少)
(6) 石盐+石膏(少)+方解石(少)+钾石盐(少)+光卤石(少)+钾盐镁矾(极少)+水 菱镁矿(极少)+杂卤石(极少)+ pensalt(C5KS6)(极少)
(7) 石盐+石膏(少)+方解石(少)+钾石盐(少)+光卤石(少)+钾盐镁矾(极少)+硫 酸镁(极少)+水菱镁矿(极少)+杂卤石(极少)+ pensalt(C5KS6)(极少)
(8) 石盐+石膏(少)+方解石(少)+钾石盐(少)+光卤石(少)+水氯镁石(少)+钾盐 镁矾(极少)+硫酸镁(极少)+水菱镁矿(极少)+杂卤石(极少)+ pensalt(C5KS6 )(极少)
30℃封闭系统模拟结果(图7b)显示有10种盐类矿物析出,随卤水浓缩系数的增大,其析出 序列及矿物组合为:
|
图 7基于EQL/EVP计算机程序模拟的卤水演化路径图 a. 30℃,开放系统; b. 30℃,封闭系统; c. 50℃,开放系统; d. 50℃,封闭系统 H—石盐; Gy—石膏; Ca—方解石; An—硬石膏; Hy—水菱镁矿; Po—杂卤石; Pen— C5KS6; Sy—钾石盐; Car—光卤石; Kai—钾盐镁矾; Kie—硫酸镁; Bi—水氯 镁石 Fig. 7Modeling of the brine evolution on pathways by EQL/EVP computer program a. 30℃,open system; b. 30℃,closed system; c. 50℃,open system; d. 50℃, closed system H—Halite; Gy—Gypsum; Ca—Calcite; An—Anhydrite; Hy—Hydromagnesite; Po— Polyhalite; Pen—Pensalt; Sy—Sylvite; Car—Carnallite; Kai—Kainite; Kie —Kieserite; Bi—Bischofite |
(2) 石盐+石膏(少)+方解石(极少)
(3) 石盐+水菱镁矿(极少)+ pensalt(C5KS6)(极少)
(4) 石盐+水菱镁矿(极少)+ pensalt(C5KS6)(极少)+杂卤石(极少)
(5) 石盐+钾石盐(少)+ pensalt(C5KS6)(极少)+杂卤石(极少)+水菱镁矿( 极少)
(6) 石盐+光卤石(少)+杂卤石(极少)+水菱镁矿(极少)
(7) 石盐+石膏(少)+光卤石(少)+硫酸镁(极少)+水菱镁矿(极少)
(8) 石盐+石膏(少)+光卤石(少)+硫酸镁(极少)+水氯镁石(极少)+水菱镁矿(极 少)
50℃开放系统模拟结果(图7c)显示有10种盐类矿物析出,随卤水浓缩系数的增大,其析出 序列及矿物组合为:
(1) 硬石膏+方解石(少)
(2) 石盐+硬石膏(少)+方解石(少)
(3) 石盐+硬石膏(少)+方解石(少)+水菱镁矿(极少)
(4) 石盐+硬石膏(少)+方解石(少)+水菱镁矿(极少)+杂卤石(极少)
(5) 石盐+硬石膏(少)+方解石(少)+钾石盐(少)+水菱镁矿(极少)+杂卤石(极少 )
(6) 石盐+硬石膏(少)+方解石(少)+钾石盐(少)+钾盐镁矾(极少)+水菱镁矿(极 少)+杂卤石(极少)
(7) 石盐+硬石膏(少)+方解石(少)+钾石盐(少)+光卤石(少)+钾盐镁矾(极少)+ 水菱镁矿(极少)+杂卤石(极少)
(8) 石盐+硬石膏(少)+方解石(少)+钾石盐(少)+光卤石(少)+钾盐镁矾(极少)+ 硫酸镁(极少)+水菱镁矿(极少)+杂卤石(极少)
(9) 石盐+硬石膏(少)+方解石(少)+钾石盐(少)+光卤石(少)+水氯镁石(少)+钾 盐镁矾(极少)+硫酸镁(极少)+水菱镁矿(极少)+杂卤石(极少)
50℃封闭系统模拟结果(图7d)显示有9种盐类矿物析出,随卤水浓缩系数的增大,其析出 序列及矿物组合为:
(1) 硬石膏+方解石(少)
(2) 石盐+硬石膏(少)+方解石(少)
(3) 石盐+硬石膏(少)+水菱镁矿(极少)
(4) 石盐+硬石膏(少)+杂卤石(少)+水菱镁矿(极少)
(5) 石盐+硬石膏(少)+钾石盐(少)+杂卤石(少)+水菱镁矿(极少)
(6) 石盐+硬石膏(少)+光卤石(少)+杂卤石(极少)+水菱镁矿(极少)
(7) 石盐+硬石膏(少)+光卤石(少)+硫酸镁(极少)+水菱镁矿(极少)
(8) 石盐+硬石膏(少)+光卤石(少)+硫酸镁(极少)+水氯镁石(极少)+水菱镁矿( 极少)
EQL/EVP卤水蒸发模拟结果表明,“大耳朵"湖区含膏碎屑层卤水30℃蒸发析出的盐类矿物以 石膏、石盐为主,50℃蒸发以硬石膏和石盐为主,另外在蒸发初期还析出少量方解石(30℃ 和50℃蒸发过程中析出量分别在0~9.6%和0~5.3%),后期析出少量钾石盐(含量小于1 .7%) 、光卤石(含量小于2.5%)和水氯镁石(含量小于2.3%)以及极少量的钾盐镁矾(含量小 于0.5%)、硫酸镁(含量小于0.6%)、杂卤石(含量小于0.3%)和水菱镁矿(含量小于0 .01%)等。其中,极少量的钾盐镁矾仅在开放系统模拟过程有析出。
4讨论
自新近纪末以来,塔里木盆地西部抬升,罗布泊成为该地区的最终汇水区(夏训诚,1987) 。早更新世—中更新世早中期,罗布泊为统一大湖,出现微咸至咸水环境;至中更新世 晚期,北部开始进入盐湖环境,出现钙芒硝沉积及钾盐聚集,而南部仍然保持微咸水_咸水 环境,主要沉积物为含石膏粉砂沉积(刘成林等,1999a)。此后,南部“大耳朵"湖为罗北 凹 地重要的补给来源(王弭力等,2001)。水化学研究揭示,该湖区含石膏碎屑层承压卤水可 以代表石膏析出阶段的古湖水,其卤水ρ(K+)为3.12 g/L(表1)。蒸发实验 结果显示:卤 水的析盐序列相对简单,依次为(硬)石膏、大量石盐、少量钾石盐和光卤石等,与EQL/EV P卤水蒸发模型模拟结果(图7)相似。在蒸发过程中随着石膏的析出,卤水中Ca2+逐 渐减少,在没有大量钙 离子补给的情况下,无法到达钙芒硝相区(图5),因而没有钙芒硝 矿物析出。而刘成林等(2010)用EQL/EVP模型对罗布泊主要入流 河水——塔里木河水进行模拟,结果显示有大量钙芒硝矿物析出,且与罗布泊盐湖实际化学沉积及丰度较为接近。那么,如何 解释“大耳朵"湖区含石膏碎屑层卤水蒸发过程中没有析出钙芒硝矿物?
|
|
表 6“大耳朵"湖区含膏碎屑层卤水与塔里木河水主要离子含量及比值 Table 6Chemical composition of brines in gypsum_bearing clastic strata and riv ers in Tarim Basin |
表7对比了罗布泊“大耳朵"含石膏碎屑层(早中更新统)卤水1及其蒸发至石膏析出后石盐 开 始析出时卤水2与罗北凹地钙芒硝晶间卤水3的组成特征,卤水2耶奈克指数2K高于卤水3,而 卤水3的耶奈克指数SO4高于卤水2。将卤水样品耶奈克指数投影在的25℃ Ca2+重叠 的K+、Na+、Mg2+、Cl-、SO2-4_H2O六元体系相图上(图5),可以 看出,罗北凹地钙芒硝晶间卤水分布于钙芒硝相区,与罗北凹地盐类矿物以钙芒硝为主的组 合特征相吻合,而碎屑层卤水蒸发 至石膏析出后,即析出石盐,其组成点向右上移至钾石盐相区。早_中更新世,罗布泊古湖 水中钾离子已初步富集到3.12 g/L左右,形成“含钾卤水",该卤水如果正常蒸发浓缩将在 石膏沉积之后析出石盐,石盐开始析出时卤水中ρ(K+)可达5.90 g/L左右, 而 事实上盐湖沉积中心不断向北收缩,在中更新世晚期罗北凹地石膏沉积相对减少,没有大量 石盐沉积,而 以钙芒硝沉积为主。表明罗布泊古湖水蒸发至石膏沉积之后,在罗北凹地应不断受 到“富钙水"的补给,致使水化学组成点发生变化,转移到钙芒硝相区,持续析出钙芒硝矿 物。罗北凹地钙芒硝晶间卤水浓缩程度较高(ρ(K+)达9.27 g/L,表7),其 古湖水不直接由当时塔里木河水补给,而是经南部“大耳朵"湖蒸发浓缩后再向它补 给,即“大耳朵"湖起着“预备盆地"的作用。
“大耳朵"湖区地层常见咸水湖相石膏沉积(王弭力等,2001),浅部为含粉砂石盐沉积( 盐 壳),以石盐为主,发现少量光卤石和杂卤石等(Ma et al., 2009)。但“大耳朵"湖区地 层中也有少量钙芒硝沉积。该湖区西北部耳北凹地最深的钻孔ZKD0303
|
|
表 7碎屑层卤水蒸发至石膏析出后与罗北凹地卤水组成对比 Table 7Chemical composition of brine in clastic strata, brine after gypsums de position in the evaporation process and brine in Luobei depression |
|
图 8QK1剖面岩性图 1—石盐; 2—粉砂; 3—钙芒硝; 4—泥 Fig. 8Lithologic diagram for QK1 section 1—Halite; 2—Silt; 3—Glauberite; 4—Mud |
5结论
(1) “大耳朵”湖区含石膏碎屑层卤水蒸发析盐顺序依次为(硬)石膏、石盐、少量钾石盐与 光卤石等,各种盐析出的顺序与理论分析基本吻合。含膏碎屑层卤水蒸发过程中没有析出钙 芒硝,主要原因可能是钙离子的缺乏。(2) 碎屑层卤水蒸发过程中化学组成变化与罗北凹地卤水对比结果表明:罗布泊古湖水蒸发 至石膏沉积之后,钾离子得到初步富集,罗北凹地卤水继续蒸发浓缩;南部“大耳朵”湖, 卤水化学组成基本保持稳定,为罗北凹地起到“预备成钾”的作用。
(3) 罗北凹地古盐湖卤水没有析出大量石盐,而以钙芒硝沉积为主,推测应是受到深部“富 钙水”的持续补给,强烈蒸发浓缩,最后形成富钾卤水。
志谢感谢国投新疆罗布泊钾盐有限公司矿产资源部陈伟、杨宝恒等对野外自然 蒸发实验 工作的支持和帮助;感谢宣之强老师、王英素老师、刘宝坤等在样品扫描电子显微镜/能谱 分析、化学分析以及X射线衍射分析中的大力帮助!
参考文献
Bo Y, Liu C L, Jiao P C, Chen Y Z and Cao Y T. 2013. Hydrochemical chara cteristi cs and controlling factors for waters chemical composition in the Tarim Basin, western China[J]. Chemie der Erde, 73(3):343_356.
Gao S Y and Liu D G. 1996. Solar evaporation of surface brine (in Summer) of Da Chaidan salt lake[J]. Journal of Salt Lake Science, 4(3_4):73_86(in Chinese wi th English abstract).
Gu S Q and Lan H Z. 1986. Experimental study on hydroglauberite[J]. Chinese Sc ience Bulletin, (9): 684_688(in Chinese)..
Hardie L A. 1968. The origin of the recent non_marine evaporite deposit of Salin e Valley, Inyo County, California. Geochimica et Cosmochimica Acta, 32:1279_1301 .
Jiang X,Zhou B H and Nie Z. 2013. Experimental research progress in evaporation of salt lake brine[J]. Inorganic Chemicals Industry, 45(6): 1_4(in Chinese wi th English abstract).
Li Y W and Han W T. 1994. A review of physicochemical study on the origin of eva porate[J]. Earth Science Frontiers (China University of Geosciences, Beijing), 1(3_4):211_215(in Chinese with English abstract).
Li Y W and Han W T.1995. Experimental study of 25℃ isothermal evaporation of se a water from the south China Sea[J]. Scientia Geologica Sinica, 30(3):233_239( in Chinese with English abstract).
Liu C L and Wang M L. 1999a. Evolution of Quaternary depositional environments a nd forming of potash deposits in Lop Nur lake, Xinjiang, China[J].Acta Geosci entia Sinica, 20(Supp.): 264_270 (in Chinese with English abstract).
Liu C L, Wang M L and Jiao P C. 1999b. Hydrogen, Oxygen, Strontium and Sulfur Is otopic Geochemistry and Potash_forming Material Sources of LOP salt lake, Xinjia ng[J]. Mineral Deposits, 18(3): 268_275 (in Chinese with English abstract).
Liu C L, Wang M L, Jiao P C, Chen Y Z and Li S D. 2002. Formation of pores and b rine reserving mechanism of the aquifers in Quaternary potash deposits in Lop Nu r Lake, Xinjiang, China[J]. Geological Review, 48(4): 437_443 (in Chinese with English abstract).
Liu C L, Jiao P C, Wang M L, Yang Z C, Li S D and Chen Y Z. 2003a. Characteristi cs of diagenesis of the Quaternary salt_bearing strata, Lop Nur lake, Xinjiang[ J ]. Acta Sedimentologica Sinica, 21(2):240_246 (in Chinese with English abstract ).
Liu C L, Jiao P C, Wang M L, Li S D and Chen Y Z. 2003b. Ascending brine fluids in Quaternary salty lake of Lop Nur in Xinjiang and their significance in potash formation[J]. Mineral Deposits. 22(4): 386_392 (in Chinese with English abstr act).
Liu C L, Wang M L, Jiao P C, Li S D and Chen Y Z. 2006. Features and formation m echanism of faults and potash_forming efect in the Lop N1ur Salt Lake, Xinjiang, China[J]. Acta Geologica Sinica, 80(6):936_943.
Liu C L, Chen Y Z, Jiao P C and Wang M L. 2006. Crystallizing experiments and pr obing of chemical reaction of glauberite, Lop Nur salt lake, Xinjiang, China[J ]. Mineral Deposits, 25(Supp.): 233_236 (in Chinese with English abstract).
Liu C L, Jiao P C, Wang M L and Chen Y Z. 2007. Sedimentation of glauberite and its effect on potash deposits formation in Lop Nur salt lake,Xinjiang,China[J ]. Mineral Deposits. 26(3): 322_329 (in Chinese with English abstract).
Liu C L, Wang M L, Jiao P C and Chen Y Z. 2009. The probing of regularity and co ntrolling factors of potash deposits distribution in Lop Nur salt lake, Xinjiang [J]. Acta Geoscientia Sinica, 30(6): 796_802 (in Chinese with English abstract ).
Liu C L, Jiao P C and Wang M L. 2010a. A tentative discussion on exploration mod el for potash deposits in basins of China[J]. Mineral Deposits, 29(4): 581_592 (in Chinese with English abstract).
Liu C L, Ma L C, Jiao P C, Sun X H and Chen Y Z. 2010b. Chemical sedimentary seq uence of Lop Nur salt lake in Xinjiang and its controlling factors[J]. Mineral Deposits, 29(4): 625_630 (in Chinese with English abstract).
Liu C L, Jiao P C, Lv F L, Wang Y Z, Sun X H, Zhang H, Wang L C and Yao F J. 201 5. The Impact of the Linked Factors of Provenance, Tectonics and Climate on Pota sh Formation: An Example from the Potash Deposits of Lop Nur Depression in Tarim Basin, Xinjiang, Western China[J]. Acta Geologica Sinica (English Edition), 8 9(6):2030_2047.
Ma L C, Lowenstein T K, Li B G, Jiang P A, Liu C L, Zhong J P, Sheng J D, Qiu H L and Wu H Q. 2010. Hydrochemical characteristics and brine evolution paths of L op Nor Basin, Xinjiang Province, western China[J]. Applied Geochemistry, 25:17 70_1782.
Qu Y H, Qian Z Q and Han W T. 2010. Identification manual of salt minerals[M]. Beijing: Geological Publishing House(in Chinese).
Risacher F and Clement A. 2001. A computer program for the simulation of evapora tion of natural waters to high concentration[J]. Computers & Geosciences, 27(2 ):191_201.
Song P S, Li W, Sun B, Nie Z, Bu L Z and Wang Y S. 2011. Recent development on c omprehensive utilization of Salt Lake resources[J]. Chinese Journal of Ino rganic Chemistry, 27(5):801_815(in Chinese with English abstract).
Sun D P, Li B X, Ma Y H and Liu Q Z. 1995. An investigation on evaporating exper iments for Qinghai_Lake water, China[J]. Journal of Salt Lake Science, 3(2):10 _19(in Chinese with English abstract).
Wang M L, Liu C L, Jiao P C, Han W T, Song S S, Chen Y Z, Yang Z C, Fan W D, Li T Q, Li C H, Feng J X, Chen J Z, Wang X M, Yu Z H and Li Y W. 2001. Saline lake poatsh resources in the Lop Nur, Xinjigang[M]. Beijing: Geological Publishing House(in Chinese).
Wang M L, Liu C L, Jiao P C and Yang Z C. 2005. Minerogenic theory of the superl arge Lop Nur potash deposit, Xinjiang, China[J]. Acta Geologica Sinica, 79(1): 53_65.
Wei D Y. 1988. Glauberite in saline deposit and its Origin[J]. Minerals and Ro cks, 8(1):92_98(in Chinese with English abstract).
Wei D Y. 2001. On glauberite deposits in China[J]. Geology of Chemical Mineral s, 23(2):75_82 (in Chinese with English abstract).
Xia X C. 1987. Scientific investigation and research in the Lop Nur Lake region [C]. Beijing: Science Press (in Chinese).
Yang Q T. 1989. The origin and sedimentary environment analysis of glauberite[J ] . Acta Sedimentologica Sinica 7(3):137_141 (in Chinese with English abstract).
Zhao H T, Liu C L, Jiao P C, Sun X H, Li D X. 2014. Morphology characteristics a nd influential factors of glauberite growth from Lop Nur Salt Lake, China[J]. Acta Mieralogica Sinica, 34(1):97_106 (in Chinese with English abstract).
Zhu J Q and Hu W X. 1989. Types and geneses of glauberite in the Anning Basin, Y unnan Province[J]. Jouranal of Hebei College of Geology, 12(1):34_42(in Chine se with English abstract).
附中文参考文献
高世扬,柳大纲. 1996. 大柴旦盐湖夏季组成卤水的天然蒸发(含硼海水型盐湖卤 水的天然蒸发)[J]. 盐湖研究,4(3_4):73_86.
谷树起,蔺焕珠.1986. 水钙芒硝的实C验研究[J].科学通报,(9): 684_688.
姜旭,周保华,乜贞. 2013. 中国盐湖卤水蒸发实验研究进展[J]. 无机盐工业,45(6) :1_4
李亚文,韩蔚田. 1994. 蒸发岩成因的物理化学研究[J]. 地学前缘(中国地质大学,北 京),1(3_4):211_215.
李亚文,韩蔚田. 1995. 南海海水25℃等温蒸发实验研究[J]. 地质科学,30(3):233_ 239.
刘成林,王弭力.1999a.罗布泊第四纪沉积环境演化与成钾作用[J].地球学报,2(增 刊):264_270.
刘成林,王弭力,焦鹏程.1999b.新疆罗布泊盐湖氢氧锶硫同位素地球化学及钾矿成矿物 质来源[J].矿床地质,18(3):268_275.
刘成林,王弭力,焦鹏程,陈永志,李树德.2002.罗布泊第四纪卤水钾矿储层孔隙成因与 储集机制研究[J].地质论评,48(4):437_443.
刘成林,焦鹏程,王弭力,杨智琛,李树德,陈永志.2003a.罗布泊第四纪含盐系成岩作 用特征研究[J].沉积学报,21(2):240_246.
刘成林,焦鹏程,王弭力,李树德,陈永志.2003b.新疆罗布泊第四纪盐湖上升流体及其 成钾意义[J].矿床地质,22(4):386_392.
刘成林,陈永志,焦鹏程,王弭力.2006.罗布泊盐湖钙芒硝结晶实验与化学反应探讨[J ].矿床地质,25(增刊):233_236.
刘成林,焦鹏程,王弭力,陈永志.2007.罗布泊盐湖巨量钙芒硝沉积及其成钾效应分析[ J].矿床地质,26(3):322_329.
刘成林,王弭力,焦鹏程,陈永志.2009.罗布泊盐湖钾盐矿床分布规律及控制因素分析[ J].地球学报,30(6):796_802.
刘成林,焦鹏程,王弭力.2010a.盆地钾盐找矿模型探讨[J].矿床地质,29(4):581_59 2.
刘成林,马黎春,焦鹏程,孙小虹,陈永志.2010b.罗布泊盐湖化学沉积序列及其控制因 素[J]. 矿床地质,29(4): 625_630.
曲懿华,钱自强,韩蔚田.2010.盐矿物鉴定手册[M]. 北京:地质出版社.
孙大鹏,李秉孝,马育华,刘群柱. 1995. 青海湖湖水的蒸发实验研究[J]. 盐湖研 究,3(2):10_19.
宋彭生,李武,孙柏,乜贞,卜令忠,王云生.2011. 盐湖资源开发利用进展[J]. 无机 化学学报,27( 5) : 801_815.
王弭力,刘成林,焦鹏程,韩蔚田,宋松山,陈永志,杨智琛,樊卫东,李廷祺,李长华, 冯金星,陈建忠,王新民,于志鸿,李亚文.2001.罗布泊盐湖钾盐资源[M].北京:地 质出版社.
魏东岩.1988. 盐类沉积中的钙芒硝及其成因[J].矿物岩石,8(1):92_98.
魏东岩.2001. 论中国钙芒硝矿床[J].化工矿产地质,23(2):75_82.
夏训诚. 1987. 罗布泊科学考察与研究[C]. 北京:科学出版社.
杨清堂.1989. 钙芒硝的成因和沉积环境简析[J].沉积学报,7(3):137_141.
赵海彤,刘成林,焦鹏程,孙小虹,李德先. 2014. 罗布泊干盐湖钙芒硝形貌特征及生长影 响因素[J]. 矿物学报,34(1):97_106.
朱井泉,胡文瑄.1989. 云南安宁盆地钙芒硝的类型与成因[J].河北地质学院学报,12( 1):34_42.
Gao S Y and Liu D G. 1996. Solar evaporation of surface brine (in Summer) of Da Chaidan salt lake[J]. Journal of Salt Lake Science, 4(3_4):73_86(in Chinese wi th English abstract).
Gu S Q and Lan H Z. 1986. Experimental study on hydroglauberite[J]. Chinese Sc ience Bulletin, (9): 684_688(in Chinese)..
Hardie L A. 1968. The origin of the recent non_marine evaporite deposit of Salin e Valley, Inyo County, California. Geochimica et Cosmochimica Acta, 32:1279_1301 .
Jiang X,Zhou B H and Nie Z. 2013. Experimental research progress in evaporation of salt lake brine[J]. Inorganic Chemicals Industry, 45(6): 1_4(in Chinese wi th English abstract).
Li Y W and Han W T. 1994. A review of physicochemical study on the origin of eva porate[J]. Earth Science Frontiers (China University of Geosciences, Beijing), 1(3_4):211_215(in Chinese with English abstract).
Li Y W and Han W T.1995. Experimental study of 25℃ isothermal evaporation of se a water from the south China Sea[J]. Scientia Geologica Sinica, 30(3):233_239( in Chinese with English abstract).
Liu C L and Wang M L. 1999a. Evolution of Quaternary depositional environments a nd forming of potash deposits in Lop Nur lake, Xinjiang, China[J].Acta Geosci entia Sinica, 20(Supp.): 264_270 (in Chinese with English abstract).
Liu C L, Wang M L and Jiao P C. 1999b. Hydrogen, Oxygen, Strontium and Sulfur Is otopic Geochemistry and Potash_forming Material Sources of LOP salt lake, Xinjia ng[J]. Mineral Deposits, 18(3): 268_275 (in Chinese with English abstract).
Liu C L, Wang M L, Jiao P C, Chen Y Z and Li S D. 2002. Formation of pores and b rine reserving mechanism of the aquifers in Quaternary potash deposits in Lop Nu r Lake, Xinjiang, China[J]. Geological Review, 48(4): 437_443 (in Chinese with English abstract).
Liu C L, Jiao P C, Wang M L, Yang Z C, Li S D and Chen Y Z. 2003a. Characteristi cs of diagenesis of the Quaternary salt_bearing strata, Lop Nur lake, Xinjiang[ J ]. Acta Sedimentologica Sinica, 21(2):240_246 (in Chinese with English abstract ).
Liu C L, Jiao P C, Wang M L, Li S D and Chen Y Z. 2003b. Ascending brine fluids in Quaternary salty lake of Lop Nur in Xinjiang and their significance in potash formation[J]. Mineral Deposits. 22(4): 386_392 (in Chinese with English abstr act).
Liu C L, Wang M L, Jiao P C, Li S D and Chen Y Z. 2006. Features and formation m echanism of faults and potash_forming efect in the Lop N1ur Salt Lake, Xinjiang, China[J]. Acta Geologica Sinica, 80(6):936_943.
Liu C L, Chen Y Z, Jiao P C and Wang M L. 2006. Crystallizing experiments and pr obing of chemical reaction of glauberite, Lop Nur salt lake, Xinjiang, China[J ]. Mineral Deposits, 25(Supp.): 233_236 (in Chinese with English abstract).
Liu C L, Jiao P C, Wang M L and Chen Y Z. 2007. Sedimentation of glauberite and its effect on potash deposits formation in Lop Nur salt lake,Xinjiang,China[J ]. Mineral Deposits. 26(3): 322_329 (in Chinese with English abstract).
Liu C L, Wang M L, Jiao P C and Chen Y Z. 2009. The probing of regularity and co ntrolling factors of potash deposits distribution in Lop Nur salt lake, Xinjiang [J]. Acta Geoscientia Sinica, 30(6): 796_802 (in Chinese with English abstract ).
Liu C L, Jiao P C and Wang M L. 2010a. A tentative discussion on exploration mod el for potash deposits in basins of China[J]. Mineral Deposits, 29(4): 581_592 (in Chinese with English abstract).
Liu C L, Ma L C, Jiao P C, Sun X H and Chen Y Z. 2010b. Chemical sedimentary seq uence of Lop Nur salt lake in Xinjiang and its controlling factors[J]. Mineral Deposits, 29(4): 625_630 (in Chinese with English abstract).
Liu C L, Jiao P C, Lv F L, Wang Y Z, Sun X H, Zhang H, Wang L C and Yao F J. 201 5. The Impact of the Linked Factors of Provenance, Tectonics and Climate on Pota sh Formation: An Example from the Potash Deposits of Lop Nur Depression in Tarim Basin, Xinjiang, Western China[J]. Acta Geologica Sinica (English Edition), 8 9(6):2030_2047.
Ma L C, Lowenstein T K, Li B G, Jiang P A, Liu C L, Zhong J P, Sheng J D, Qiu H L and Wu H Q. 2010. Hydrochemical characteristics and brine evolution paths of L op Nor Basin, Xinjiang Province, western China[J]. Applied Geochemistry, 25:17 70_1782.
Qu Y H, Qian Z Q and Han W T. 2010. Identification manual of salt minerals[M]. Beijing: Geological Publishing House(in Chinese).
Risacher F and Clement A. 2001. A computer program for the simulation of evapora tion of natural waters to high concentration[J]. Computers & Geosciences, 27(2 ):191_201.
Song P S, Li W, Sun B, Nie Z, Bu L Z and Wang Y S. 2011. Recent development on c omprehensive utilization of Salt Lake resources[J]. Chinese Journal of Ino rganic Chemistry, 27(5):801_815(in Chinese with English abstract).
Sun D P, Li B X, Ma Y H and Liu Q Z. 1995. An investigation on evaporating exper iments for Qinghai_Lake water, China[J]. Journal of Salt Lake Science, 3(2):10 _19(in Chinese with English abstract).
Wang M L, Liu C L, Jiao P C, Han W T, Song S S, Chen Y Z, Yang Z C, Fan W D, Li T Q, Li C H, Feng J X, Chen J Z, Wang X M, Yu Z H and Li Y W. 2001. Saline lake poatsh resources in the Lop Nur, Xinjigang[M]. Beijing: Geological Publishing House(in Chinese).
Wang M L, Liu C L, Jiao P C and Yang Z C. 2005. Minerogenic theory of the superl arge Lop Nur potash deposit, Xinjiang, China[J]. Acta Geologica Sinica, 79(1): 53_65.
Wei D Y. 1988. Glauberite in saline deposit and its Origin[J]. Minerals and Ro cks, 8(1):92_98(in Chinese with English abstract).
Wei D Y. 2001. On glauberite deposits in China[J]. Geology of Chemical Mineral s, 23(2):75_82 (in Chinese with English abstract).
Xia X C. 1987. Scientific investigation and research in the Lop Nur Lake region [C]. Beijing: Science Press (in Chinese).
Yang Q T. 1989. The origin and sedimentary environment analysis of glauberite[J ] . Acta Sedimentologica Sinica 7(3):137_141 (in Chinese with English abstract).
Zhao H T, Liu C L, Jiao P C, Sun X H, Li D X. 2014. Morphology characteristics a nd influential factors of glauberite growth from Lop Nur Salt Lake, China[J]. Acta Mieralogica Sinica, 34(1):97_106 (in Chinese with English abstract).
Zhu J Q and Hu W X. 1989. Types and geneses of glauberite in the Anning Basin, Y unnan Province[J]. Jouranal of Hebei College of Geology, 12(1):34_42(in Chine se with English abstract).
附中文参考文献
高世扬,柳大纲. 1996. 大柴旦盐湖夏季组成卤水的天然蒸发(含硼海水型盐湖卤 水的天然蒸发)[J]. 盐湖研究,4(3_4):73_86.
谷树起,蔺焕珠.1986. 水钙芒硝的实C验研究[J].科学通报,(9): 684_688.
姜旭,周保华,乜贞. 2013. 中国盐湖卤水蒸发实验研究进展[J]. 无机盐工业,45(6) :1_4
李亚文,韩蔚田. 1994. 蒸发岩成因的物理化学研究[J]. 地学前缘(中国地质大学,北 京),1(3_4):211_215.
李亚文,韩蔚田. 1995. 南海海水25℃等温蒸发实验研究[J]. 地质科学,30(3):233_ 239.
刘成林,王弭力.1999a.罗布泊第四纪沉积环境演化与成钾作用[J].地球学报,2(增 刊):264_270.
刘成林,王弭力,焦鹏程.1999b.新疆罗布泊盐湖氢氧锶硫同位素地球化学及钾矿成矿物 质来源[J].矿床地质,18(3):268_275.
刘成林,王弭力,焦鹏程,陈永志,李树德.2002.罗布泊第四纪卤水钾矿储层孔隙成因与 储集机制研究[J].地质论评,48(4):437_443.
刘成林,焦鹏程,王弭力,杨智琛,李树德,陈永志.2003a.罗布泊第四纪含盐系成岩作 用特征研究[J].沉积学报,21(2):240_246.
刘成林,焦鹏程,王弭力,李树德,陈永志.2003b.新疆罗布泊第四纪盐湖上升流体及其 成钾意义[J].矿床地质,22(4):386_392.
刘成林,陈永志,焦鹏程,王弭力.2006.罗布泊盐湖钙芒硝结晶实验与化学反应探讨[J ].矿床地质,25(增刊):233_236.
刘成林,焦鹏程,王弭力,陈永志.2007.罗布泊盐湖巨量钙芒硝沉积及其成钾效应分析[ J].矿床地质,26(3):322_329.
刘成林,王弭力,焦鹏程,陈永志.2009.罗布泊盐湖钾盐矿床分布规律及控制因素分析[ J].地球学报,30(6):796_802.
刘成林,焦鹏程,王弭力.2010a.盆地钾盐找矿模型探讨[J].矿床地质,29(4):581_59 2.
刘成林,马黎春,焦鹏程,孙小虹,陈永志.2010b.罗布泊盐湖化学沉积序列及其控制因 素[J]. 矿床地质,29(4): 625_630.
曲懿华,钱自强,韩蔚田.2010.盐矿物鉴定手册[M]. 北京:地质出版社.
孙大鹏,李秉孝,马育华,刘群柱. 1995. 青海湖湖水的蒸发实验研究[J]. 盐湖研 究,3(2):10_19.
宋彭生,李武,孙柏,乜贞,卜令忠,王云生.2011. 盐湖资源开发利用进展[J]. 无机 化学学报,27( 5) : 801_815.
王弭力,刘成林,焦鹏程,韩蔚田,宋松山,陈永志,杨智琛,樊卫东,李廷祺,李长华, 冯金星,陈建忠,王新民,于志鸿,李亚文.2001.罗布泊盐湖钾盐资源[M].北京:地 质出版社.
魏东岩.1988. 盐类沉积中的钙芒硝及其成因[J].矿物岩石,8(1):92_98.
魏东岩.2001. 论中国钙芒硝矿床[J].化工矿产地质,23(2):75_82.
夏训诚. 1987. 罗布泊科学考察与研究[C]. 北京:科学出版社.
杨清堂.1989. 钙芒硝的成因和沉积环境简析[J].沉积学报,7(3):137_141.
赵海彤,刘成林,焦鹏程,孙小虹,李德先. 2014. 罗布泊干盐湖钙芒硝形貌特征及生长影 响因素[J]. 矿物学报,34(1):97_106.
朱井泉,胡文瑄.1989. 云南安宁盆地钙芒硝的类型与成因[J].河北地质学院学报,12( 1):34_42.
孙小虹,刘成林,焦鹏程,颜辉,陈永志,马黎春,张永明,王春连,李文学.2016.罗布泊盐湖富钾卤水成因再探讨——碎屑层卤水蒸发实验分析[J].矿床地质,35(6):1190~1204