-
在全球范围内,钨锡钼与铅锌银在空间上共同产出的现象较为常见,例如,北美加拿大的Yukon矿区产出了金铋碲与钨钼的共生矿化组合,以席状脉或含金石英-白钨矿脉形式产出,同时岩体远端发育脉状铅锌银矿化组合(Hart et al., 2000);俄罗斯的Tyrnyauz超大型钨钼矿床外围发现了钨金铋锑矿化(Soloviev et al., 2021a);南岭地区黄沙坪铅锌银矿深部勘查中发现了斑岩-矽卡岩型钨锡钼共生矿体(黄诚等, 2013;原垭斌等, 2014;卢友月等, 2022);湖南柿竹园矿区远接触带为铅锌银矿脉,而近接触带为矽卡岩型的钨锡钼铋矿化(吴胜华等, 2016);银坑矿田内实施的南岭科学钻探揭露了铅锌银与钨钼铋的垂向矿化分带现象(陈毓川等, 1989;2021;郭娜欣, 2015;郭娜欣等, 2016)等。然而,由于两类成矿元素地球化学性质的差异,其成因关系问题仍存在争议。
银坑矿田位于南岭成矿带东段,是赣南钨多金属矿集区的重要组成,该矿田以同时发育一套石英脉-云英岩型钨钼矿化和热液脉型铅锌银矿化为特色(陈毓川等, 1989;2013;2021;郭娜欣, 2015;赵正等, 2014;2016)。以往研究显示,银坑矿田两类矿化不仅空间上紧密共生,成岩成矿时代也基本一致(160~150 Ma)(刘善宝等, 2007;赵正等, 2012;丰成友等, 2015),故研究两者的成因联系具有重要的意义,也将有利于拓展花岗岩区找矿方向。本文选取矿田内的张家地钨钼矿和牛形坝铅锌银矿为主要研究对象,以成矿流体研究为切入点,开展典型解剖,对比了两类矿化的成矿流体来源、流体包裹体特征及成矿物理化学条件,综合分析了南岭钨钼与铅锌银的成矿条件,探讨了两类矿化的岩浆热液演化过程,进一步指明了铅锌银矿深部和钨钼矿外围的找矿方向。
1区域地质和矿床地质1.1矿田地质银坑矿田位于南岭东西向构造带与武夷山北东向构造带的交汇部位(赵正等, 2017),属北北东向鹰潭-定南深断裂与北东向大余-南城断裂夹持的于山隆起带北段于都-宁都坳陷区。矿田内发育加里东期基底褶皱、印支期盖层褶皱和燕山期为主的断裂构造,基底和盖层褶皱以及一系列北东向的叠瓦式推覆断裂(图1)构成了区内主要的控岩控矿构造。银坑地区地层发育较为齐全,包括新元古界的青白口系、南华系和震旦系,下古生界的寒武系,上古生界的泥盆系、石炭系和二叠系,以及中生界的侏罗系、白垩系和新生界的第四系(图1)。
银坑矿田内矿产种类丰富,先后发现了营脑锰多金属矿床、桥背坑银金多金属矿床、桥子坑金铅锌银铜矿床、老虎头铅锌多金属矿床、柳木坑银铅矿床、岽下山钨矿床、白石坳钨多金属矿床、岩前钨矿床、画眉坳钨铍矿床等(陈毓川等,2021)。空间上表现为矽卡岩型、石英脉型和云英岩型钨多金属矿围绕区内江背花岗岩体分布,铅锌银多金属矿受远岩体的构造裂隙带控制。
江背岩体是中粗-中细粒斑状黑云母二长花岗岩,分布于银坑矿田西北部,为燕山早期复式岩基。柳木坑-牛形坝岩脉带呈拱桥形,该岩脉带的左翼分布一系列的燕山晚期(石英)闪长玢岩;右翼分布一系列燕山早期花岗(闪长)斑岩脉;岩脉带的拱桥顶部为花岗斑岩脉和石英斑岩脉的混合带,后者形成于燕山早期。
1.2张家地钨钼矿床地质张家地钨钼矿位于银坑矿田东北部,矿体产于江背花岗岩体与震旦系接触带(丰成友等, 2015),矿体主要受北东-北北东向和北西向断裂控制。矿区钼钨铜矿化根据其空间展布特征分为王泥排、刘家庄和张家地3个区段(图2),王泥排区段以钼矿化为主,刘家庄区段以钼钨矿化为主,张家地区段以钨铜矿化为主。
该矿床围岩的热液蚀变发育,包括硅化、云英岩化、钾化(图3b)、绢云母化和黄铁矿化(图3c、d),以及成矿后期发育的碳酸盐化。通过矿物共生组合及矿脉穿插关系将该矿床划分为3个成矿阶段:早期黑钨矿-长石-石英阶段,该阶段富含辉钼矿(图3a)、黑钨矿、铁锂云母、石英,次要矿物为电气石、绿柱石、钾长石等,偶见白钨矿和锡石;中期辉钼矿-黄铁矿阶段,该阶段富含辉钼矿、黄铁矿、铁锂云母(图3e)和石英,次要矿物为绢云母、绿柱石、黄铜矿等,偶见闪锌矿等;晚期硫化物-碳酸盐阶段,该阶段有大量的方解石,少量黄铁矿、黄铜矿、辉钼矿(图3f)和石英等矿物。
1.3牛形坝铅锌银多金属矿床地质牛形坝铅锌银多金属矿床位于银坑矿田中部,矿化带主要赋存于江背花岗岩体远端的青白口系地层,矿体主要受F1推覆断裂构造和近东西向断裂控制(图4)。矿化类型为裂隙带控制的破碎带蚀变岩型铅锌银矿化,与硅化密切共生(郭娜欣, 2015)。
该矿床围岩蚀变有硅化、黄铁矿化(图5b)、绢云母化和绿泥石化等(图5)。通过矿物共生组合及矿脉穿插关系将该矿床划分为3个成矿阶段:早期石英-黄铁矿阶段(图5a),以黄铁矿、石英为主,少量闪锌矿;中期石英-多金属硫化物阶段(图5c、d、e、f),发育黄铜矿(图5c)、闪锌矿、黄铁矿、方铅矿和石英等;晚期硫化物-碳酸盐阶段的矿物简单,为黄铁矿、方解石和石英。
2样品采集与测试方法张家地钨钼矿样品采自刘家庄矿段208勘探线的MO15号矿体和王泥排矿段7号勘探线的ZK7-1中V3号脉;牛形坝铅锌银矿样品采自银坑矿田牛形坝矿区V11(银多金属矿化带)和V31(铅锌铜金银多金属矿化带)矿脉。本次实验主要选取两类矿化不同阶段的石英流体包裹体进行矿相学观察和显微测温分析,此外,测定了张家地钨钼矿中的石英流体包裹体的氢、氧同位素。
利用偏光显微镜进行观察和测量,描述、记录和统计了各种包裹体的形态、大小、颜色、气相分数、类型和分布等特征。流体包裹体测温实验在中国科学院地球化学研究所矿床地球化学国家重点实验室流体包裹体实验室完成,其设备是英国Linkham公司THMSG 600型冷热台和配备有成像分析系统的标准显微镜。在低温下(<50℃),该仪器为±0.1℃的误差,在高温下(>100℃),仪器为±2℃的误差;测温过程中的升温速率为0.2~10 ℃/min,在相转变时升温速率降低为0.2 ℃/min。
在中国地质科学院矿产资源研究所同位素实验室完成了石英氢、氧同位素测试。首先在双目显微镜下挑选用于测试的石英单矿物,且纯度须达到99%以上。氧同位素测试采用BrF5法,测试结果以SMOW为标准,记为δ18Ov-SMOW,分析精度为±1‰。样品要求200目,每份样品1 g;氢同位素测试采用高真空热爆法取水、金属铬还原法,样品要求40~60目,每份样品1 g,氢氧同位素结果均以SMOW为标准。
3测试结果3.1矿相学特征根据各成矿阶段流体包裹体室温下的类型及其相态特征,将银坑钨钼矿和铅锌银矿石英中流体包裹体分成气液两相包裹体、含CO2的三相水溶液包裹体和纯气相包裹体三类。两类矿化均测得100多个有效包裹体数据。张家地钨钼矿流体包裹体类型主要为气液两相包裹体和含CO2的三相水溶液包裹体;牛形坝铅锌银矿流体包裹体类型主要为气液两相包裹体和纯气相包裹体以及少量含CO2的三相水溶液包裹体。现分别描述如下。
张家地钨钼矿床主要发育富液相两相水溶液包裹体(图6a、b、d、e),从成矿早期到成矿晚期中均有出现,含有CO2的三相水溶液包裹体仅在成矿阶段的早期和中期出现(图6c、f),其中富液相两相水溶液包裹体呈现出不规则形、长方形、椭圆形、负晶形和长条形等形状,长度在4~14 μm之间,个别可达22 μm,气相分数为10%~30%(图6a、b、d、e,表1);含CO2三相水溶液呈现出不规则形、负晶形和长方形,长度在7~21 μm之间,气相分数为20%~70%(图6c、f)。牛形坝铅锌银多金属矿床主要为气液两相包裹体,在整个成矿阶段中始终出现,含CO2三相水溶液包裹体仅在成矿阶段中期出现,气液两相型包裹体以无色透明为主(图6g~j),而含CO2的三相水溶液包裹体一般透明度较差,部分较浑浊,呈灰黑色,纯气相包裹体部分可见(图6l),主要成分为H2O,呈灰黑色。包裹体形态多样,多呈平面或线状排列,可分为规则型和非规则型两类。包裹体大小不一,本次观察到的长径大多集中在2 ~15 μm之间,最大者可达27 μm,最小的在1 μm下(表2)。包裹体的相比差异不大,液体包裹体气相分数大多集中在10%~30%,较大者可以达到70%,较小的在5%左右(图6g~l;表2)。
银坑地区钨钼矿床石英中流体包裹体类型较多,个体相对较大,气相分数大,流体中CO2包裹体含量高,属于CO2-NaCl-H2O体系;而铅锌银矿床石英的包裹体类型相对简单,个体小,气相分数小,流体中CO2含量相对较低,以水溶液包裹体为主,属于NaCl-H2O体系。
3.2显微测温与氢氧同位素地球化学本文对张家地钨钼矿和牛形坝铅锌银矿床主成矿阶段石英中流体包裹体开展了测温实验,共获得张家地130个有效数据,牛形坝152个有效数据。据Hall等(1988)提出的H2O-NaCl体系通过冰点下降温度来计算成矿流体盐度的关系式
,Edwin(1984)提出的H2O-NaCl-CO2体系盐度-笼合物熔化温度计算式为
,分别计算得出矿床流体包裹体的盐度。流体包裹体的密度根据刘斌等(1987)提出的H2O-NaCl体系公式来计算,成矿流体压力利用刘斌(1999)提出的L-S等容式计算。张家地钨钼矿和牛形坝铅锌银矿床流体包裹体显微测温的结果如表1、表2、表3所示,通过计算得出该矿床流体包裹体的盐度、密度和压力,为矿床成因的研究提供了重要的依据。
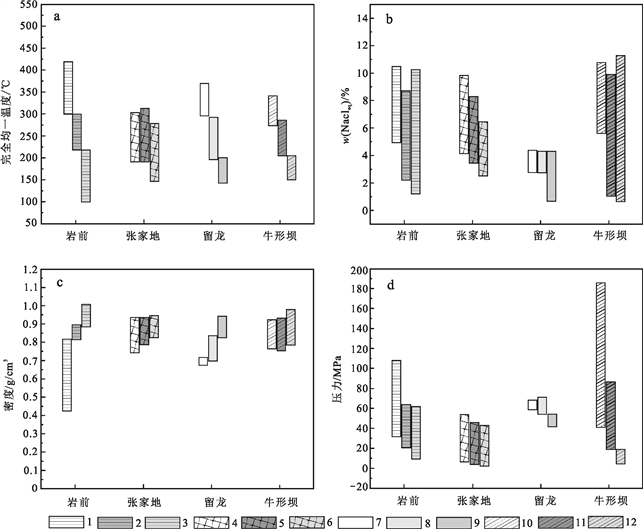
张家地矿床中成矿早期黑钨矿-石英阶段石英V-L型包裹体的完全均一温度集中在178~325℃(图7a),盐度w(NaCleq)为4.18%~8.81%(图7b),计算对应流体密度为0.75~0.94 g/cm3(图7c),对应压力为6~54 MPa(图7d),该阶段石英V-L-CO2型包裹体的完全均一温度集中在288~356℃,笼合物熔化温度为4.5~6.5℃,盐度w(NaCleq)为6.63%~9.84%;辉钼矿-黄铁矿阶段石英V-L型包裹体的均一温度集中在172~295℃(图7a),盐度w(NaCleq)为3.39%~7.86%(图7b),计算对应流体密度为0.79~0.94 g/cm3(图7c),对应压力为4~46 MPa(图7d),该阶段石英V-L-CO2型包裹体的完全均一温度集中在244~315℃,笼合物熔化温度为5.5~7.2℃,盐度w(NaCleq)为5.41%~8.29%;晚期硫化物-碳酸盐阶段石英V-L型包裹体的均一温度为151~262℃(图7a),盐度w(NaCleq)为2.57%~6.45%(图7b),计算对应流体密度为0.83~0.95 g/cm3(图7c),对应压力为3~43 MPa(图7d)。牛形坝矿床中成矿早期石英-黄铁矿阶段中石英V-L型包裹体的完全均一温度集中在300~375℃(图7a),盐度w(NaCleq)为5.56%~9.6%(图7b),计算对应流体密度为0.76~0.92 g/cm3(图7c),对应压力为44~184 MPa(图7d);石英-多金属硫化物阶段石英V-L型包裹体的均一温度集中在211~298℃(图7a),盐度w(NaCleq)为5.26%~9.60%(图7b),计算对应流体密度为0.77~0.93 g/cm3(图7c),对应压力为18~83 MPa(图7d),该阶段石英V-L-CO2型包裹体的完全均一温度集中在223~295℃,笼合物熔化温度为5.3~8.2℃,盐度w(NaCleq)为1.05%~8.51%,计算对应流体密度为0.75~0.91 g/cm3,对应压力为22~72 MPa;晚期石英-碳酸盐阶段石英V-L型包裹体的均一温度为150~209℃(图7a),盐度w(NaCleq)为3.71%~11.22%(图7b),计算对应流体密度为0.89~0.97 g/cm3(图7c),对应压力为5~18 MPa(图7d)。
本文重点对张家地钨钼矿床早期黑钨矿-石英阶段、辉钼矿-黄铁矿-石英阶段和晚期硫化物-石英阶段的石英进行氢、氧同位素分析,结果如表4所示,并结合前人对岩前、牛形坝和留龙矿床的氢、氧同位素研究进行对比。成矿流体的氧同位素组成依据矿物与H2O的氧同位平衡分馏方程和流体包裹体均一温度峰值计算所得。δ18OH2O值利用Clayton等(1972)提出的石英-水的方程
来计算,其中δA为测定的δ18OV-SMOW值,δB为需要计算的δ18OH2O值,计算温度T取各样品中石英的完全均一温度平均值,温度单位为开尔文。分析测试结果表明,氢、氧同位素数据分为3个组,第一组早期黑钨矿-石英阶段δ18Ov-SMOW值为13.1‰~13.3‰,δDV-SMOW值为-52‰~-57‰;第二组为中期辉钼矿-黄铁矿阶段δ18Ov-SMOW值为13.2‰~13.9‰,δDV-SMOW值为-54‰~-58‰;第三组为晚期硫化物-碳酸盐阶段δ18Ov-SMOW值为12.4‰~12.5‰,δDV-SMOW值为-54‰~-59‰。计算可得早期黑钨矿-长石阶段δ18OH2O值为4.30‰~5.46‰,中期辉钼矿-黄铁矿阶段δ18OH2O值为3.26‰~3.96‰,晚期硫化物-碳酸盐阶段δ18OH2O值为0.56‰~0.66‰,前者较后者更大。
4讨论4.1钨钼与铅锌银成矿流体来源及演化与花岗岩相关的钨钼矿床成矿流体主体来自成矿的高分异花岗岩,在流体出溶的过程中,这些金属进入了成矿热液系统(Cattalani et al., 1991; Yokart et al., 2003),含矿热液一般经历了降温、多端员流体混合、流体不混溶(流体沸腾)和水岩反应(蒋少涌等, 2020)。岩浆热液型铅锌银矿化则明显受水岩反应影响(Peng et al., 2021)。氢、氧同位素数据显示,张家地钨钼矿床中石英流体的δDV-SMOW值范围在岩浆水范围内(-80‰~-40‰),在δDV-SMOW-δ18OH2O判别图中(图8),皆位于岩浆水和雨水线之间,少量氢、氧同位素数据呈向雨水线漂移的趋势,这种现象可能与岩浆水和大气降水之间所发生的氢、氧同位素平衡交换反应有关。牛形坝铅锌银矿床中石英流体的δDV-SMOW值范围在岩浆水范围,具有高δ18OH2O和δDV-SMOW(图8),留龙金矿床的δDV-SMOW值范围在岩浆水范围-59.9‰~-30.1‰,主要成矿流体中的介质水来源于岩浆水,可能是铅锌银金的成矿流体与围岩发生水岩反应,或者是变质过程中参与了铅锌银金成矿的高δ18OH2O和δDV-SMOW的水。在成矿过程中,铅锌银金矿的成矿流体从早期到晚期,δ18OH2O呈降低趋势,δDV-SMOW呈上升趋势;而钨钼矿成矿流体的δ18OH2O和δDV-SMOW值均呈降低的趋势(图8),指示二者可能具有类似的成矿来源,成矿流体均具有深部岩浆水的特征,少量向变质水演化的趋势,说明流体继承了岩浆水的性质并且出现连续演化的特征。银坑地区的铅锌银金矿床中硫化物中的硫同位素组成较为集中,矿床矿石硫化物的δ34S值分布范围窄,主要分布在-4.0~+1.0‰之间,其均值接近0‰,即幔源硫,明显低于海相沉积硫酸盐的δ34S值,直方图上呈近正态分布的塔型(图9),表明银坑地区的铅锌银矿床中硫主要来源于岩浆。
银坑地区张家地钨钼矿床中黑钨矿-石英阶段石英中的成矿流体性质为中-高温、中低盐度;辉钼矿-黄铁矿-石英阶段石英成矿流体性质为中-高温、中低盐度;晚期硫化物-碳酸盐阶段石英成矿流体的性质为中低温、中低盐度热水溶液,成矿流体盐度w(NaCleq)介于1.23%~10.49%,在成矿过程中,流体温度逐渐降低,流体盐度逐渐减少,成矿流体压力逐渐下降。牛形坝铅锌银矿床中石英-黄铁矿阶段石英中成矿流体性质为高温、中低盐度;石英-多金属硫化物阶段石英成矿流体性质为中-高温、中低盐度;晚期碳酸盐-石英阶段石英成矿流体性质为中低温、中低盐度的热水溶液,成矿流体盐度范围较广(w(NaCleq)为1.05%~11.22%)(丰成友等, 2007),从成矿早期到晚期,流体温度逐渐下降,流体盐度也呈递减趋势,成矿流体盐度和压力逐渐下降(图7,表3)。柿竹园钨矽卡岩矿物中流体包裹体均一温度范围在350~535℃,盐度值存在2个范围,w(NaCleq)分别为1%~12%和26%~41%,Lu等(2003)认为成矿流体有可能为不混溶作用形成或是由高温高盐度岩浆流体与低温低盐度大气水混合形成,柿竹园远接触带铅锌银矿的成矿过程为,在千里山岩体结晶的晚阶段,流体从熔体中出溶,并沿着裂隙上升,当温度降至低于400℃时,流体发生了沸腾作用,在静岩压力~20 MPa条件下。在温度降低到200℃,硫逸度逐渐减少的过程中,不同的硫化物和硫盐逐渐从热液流体晶出(吴胜华等,2016)。
银坑矿田内的钨钼和铅锌银矿床成矿温度有所差异,但主要集中在150~310 ℃,钨钼矿床成矿流体主要为NaCl-H2O-CO2流体体系,具中低盐度、中低压和富CO2特征;铅锌银矿床中则主要为NaCl-H2O流体包裹体,为中低盐度、中高压,少见CO2。钨钼矿床的流体盐度较低,相对钨钼成矿热液,铅锌银成矿流体盐度范围变化较大。成矿流体在向上运移过程中,开放的断裂-裂隙系统压力突然降低,导致流体发生减压沸腾,大量的CO2等气体迅速逸散被捕获,有利于H2S等气体分离,使流体中硫浓度降低,从而导致金属矿物发生沉淀(Audétat et al., 2000;Heinrich, 2007)。这两类矿化从成矿早期到晚期,温度逐渐降低,盐度逐渐减少,压力呈递减趋势,温度变化时流体盐度和压力的变化趋势相近,成矿早期二者均为含CO2成矿流体。结合氢、氧硫同位素与包裹体测温结果,推测银坑地区的钨钼矿和铅锌银矿均有来源深部岩浆水的热液参与,晚期成矿流体硫同位素较低,可能源于成矿后期与大气降水发生混合,推测在矿田尺度共生的钨钼和铅锌银这两类矿化可能来自同一岩浆源区。
4.2钨钼和铅锌银沉淀的物理化学条件由于矿床地质环境、成矿热液组分、物理化学条件等约束,钨钼和银铅锌等金属元素在热液体系中沉淀的主导因素有所差异。已有的实验数据显示钨钼矿沉淀温度一般高于300℃,通常经历了流体混合和沸腾作用(Davis et al., 1985),而铅锌银这类贱金属沉淀通常在矿床中流体已经冷却的后期阶段发生。Audétat等(2000)提出贱金属和钨锡钼的矿石沉淀可能是由于流体混合驱动的,在没有外部影响因素(如温度和压力)的变化下,流体性质会根据岩浆熔体中F的富集进程而发生变化,流体中F组成的变化控制了矿石中成矿金属元素之间的比值。朱炜等(2023)提出铅锌银沉淀可能为降温、流体沸腾、稀释作用、pH变化、氧化还原电位变化、流体混合及水岩作用等机制共同作用的结果,沸腾期间蒸汽和盐水之间的组分差异(Heinrich et al., 1992)也可能导致系统中贱金属发生沉淀。
银坑张家地为代表的石英脉-云英岩型钨钼矿流体属于CO2-NaCl-H2O体系,且从表3和图7中得出钨钼矿的沉淀温度在300 ℃左右,经历了流体沸腾及不混溶作用、流体混合和压力下降等几个成矿过程。岩浆上侵初期过程中分异出富钨岩浆热液,与钙质围岩发生接触交代作用,随着围岩中Ca2+的释放以及pH和氧逸度的升高,同时还发生以CO2逸失为特征的流体不混溶作用,此时含矿热液特征表现为高温、高压、高盐度、富钨、富钙、富挥发分(如CO2、SO2、CH4、F和Cl等)(Polya, 1989;Heinrich, 1990),在矿液运移的过程中,随着温度和压力以及氧逸度的降低,白钨矿开始大量沉淀。而在矿化过程的后期,虽然温度和压力继续下降,但流体中的钨含量不足,只有少量的白钨矿得以沉淀,Ca2+和CO32-结合形成方解石。Agylki还原钨矿中钨钼矿沉淀有利条件范围为300~520℃、110~900 Mpa(Soloviev et al., 2020),因此压力下降、酸碱度和氧逸度的升高等物理化学条件的变化,可能是控制钨钼沉淀的重要因素。石英脉型钨钼矿成矿流体出溶于深部长英质岩浆,经由云英岩化蚀变,成矿热液萃取了黑云母二长花岗斑岩中大量的Fe、Mg、Zn等元素进入热液系统,为成矿提供物质基础,其中岩浆热液与大气混合引起的成矿热液稀释、降温,及水岩反应使得pH升高,都是钨钼沉淀的重要机制(Ni et al., 2020; Wang et al., 2023; Xu et al., 2025),与赣南地区其他石英脉型钨钼矿的沉淀条件一致。银坑地区的钨钼的沉淀与流体沸腾、围岩的水岩反应、压力下降、酸碱度和氧逸度的升高等物理化学条件的变化有关。
银坑牛形坝为代表的热液脉型铅锌银矿流体属于NaCl-H2O体系,铅锌银等元素在初始成矿流体中通常具有较高的氯浓度,铅锌银等元素都是以氯化物的形式存在于热液流体中。随着成矿流体的上侵过程,铅锌银和其他成矿元素主要呈稳定的氯络合物(如Zn-Cl、Pb-Cl和AgCl等)形式被搬运,随着流体温度逐渐降低,导致Zn-Cl等络合物稳定性降低而沉淀出金属元素。以银坑牛形坝铅锌银矿床为代表的包裹体类型相对简单,个体小,气相比小,流体中CO2含量相对较低,以水溶液包裹体为主,属于NaCl-H2O体系,含CO2流体包裹体仅在成矿早期出现。早期的初始含矿流体具有高温(>330℃)的特点,其中铅锌银金和其他成矿元素主要呈稳定的络合物形式被搬运,在沿断裂上升运移的过程中,温度和压力降低、二次沸腾作用发生、CO2和H2S等挥发分散逸,pH值升高(张乾等, 1995),导致铅锌银在流体中的以氯络合物(如ZnCl、PbCl和AgCl等)为主转变为硫络合物(如Zn(HS)2和Pb(HS)3-等)为主,相比之下氯络合物的溶解度更高,硫络合物的溶解度较低,络合物的种类转变导致铅锌银等金属矿物的大量沉淀。Tyrnyauz矿床中银(金)沉淀结晶有利条件范围为150~340℃、50~150 MPa(Soloviev et al., 2021a)在不同的热液成矿环境下,其沉淀的主导因素不同。铅锌银的沉淀与流体混合作用、温度下降、pH值升高、流体中挥发分(Cl、S等)变化等物理化学条件的变化有关,因此流体混合或是自然冷却均可导致金属(钨钼、银金、铅锌等)发生沉淀。
4.3对深部找矿指示与岩浆热液有关的钨多金属矿床在不同深度、温度、压力等条件形成具有明显矿物组合差异的矿化分带现象,一般由近岩体的中高温矿化组合向远端的中低温矿化组合演化,如广西大厂矿田中龙箱盖岩体近端为矽卡岩型锌铜矿床,远离岩体为锡多金属矿床(张健等, 2019);湖南柿竹园矿区由近接触带为云英岩-矽卡岩型的钨锡钼铋和远接触带的铅锌银矿脉组成(吴胜华等, 2016);加拿大的Yukon矿区近岩体发现金铋碲与钨钼的矿化组合,同时岩体远端也发现了脉状铅锌银矿化组合(Hart et al., 2000);俄罗斯的Tyrnyauz超大型钨钼矿床外围也发现了钨金铋锑矿化(Soloviev et al., 2021a);俄罗斯西伯利亚西南部阿尔泰北部的Glafirinskoe铜金矿床中有矽卡岩相关的钨钼矿化(Soloviev et al., 2021b);俄罗斯西伯利亚中在以金为主的成矿区中发育Agylki大型还原钨矽卡岩矿床(Soloviev et al.,2020)(表5)等。银坑矿田内以江背岩体为热中心,成矿元素呈明显正向分带,即近岩体的钨钼矿化组合,外围远端沿裂隙带分布的铅锌银金矿化组合,自内向外逐渐过渡,从高温成矿元素到中、低温成矿元素。南岭东段虽以钨多金属高温矿化为主,但与钨锡呈多尺度共生的铅锌(银金)矿化现象也值得关注。区域上存在不同矿化的叠加现象,如在营前矿田在同一条矿带中,发现了金矿化和钨锡矿化的叠加现象(郭春丽等, 2010);焦里矿区的SK2矿脉也出现了白钨矿化和铅锌矿化叠加现象(孙莉等, 2016)。垂直方向上也存在矿化分带现象,如赣南地区石英脉型黑钨矿常呈现垂向上的逆向分带,上部以钨、锡等中高温元素的矿化为主;中部为钨锡铋钼铜锌等元素的叠加矿化;下部产出铜、锌等中低温元素矿化;南岭科学钻探的钻孔中浅部发育铜铅锌银矿化,深部则发现了钨铋矿化(郭娜欣, 2015;郭娜欣等, 2016;赵正等, 2014;2016;陈毓川等, 2013;2021);黄沙坪铅锌银矿深部勘查发现了铅锌银(金)与钨钼(锡)共生矿体(原垭斌等, 2014;卢友月等, 2022;Chu et al., 2022)。这些矿化组合现象反映出花岗质岩浆热液具有携带大量钨钼锡和铅锌银金的能力,含矿热液运移过程中温度、压力及不同程度水岩反应会制约着矿化沉淀序列,形成自岩体近端向远端和深部向浅部的矿化分带现象。
以往研究显示,银坑矿田内热液脉型铅锌银矿床、石英脉-云英岩型钨钼矿床及相关花岗岩的成岩成矿时代(160~150 Ma)基本相同(刘善宝等, 2007;赵正等, 2012;丰成友等, 2015),在空间上受同一深部构造控制(Zhao et al., 2018)。前人研究得出与铅锌银多金属矿有关的侵入岩通常为中酸性的花岗闪长岩、石英二长岩和花岗岩(Lang et al., 2000; 2001),与钨锡钼矿相关的花岗岩通常为壳源、高F、高分异、还原的钛铁矿系列花岗岩(郭娜欣, 2015;郭娜欣等, 2016)。本次成矿流体研究得出银坑矿田内的石英脉型钨钼矿成矿流体为中高盐度,中低压力,主要来源于岩浆水,有向雨水线漂移的趋势;热液脉型铅锌银矿成矿流体为中低盐度,中高压力,主要来源于岩浆水,后期有变质水的加入,两类矿床成矿温度从成矿早期到成矿晚期呈下降趋势。推测深部岩浆在上升侵位的过程中,含矿热液从深部逐渐向浅部运移,温度降低并与围岩发生交代反应,可能有大气降水加入,使得压力骤变,矿物发生沉淀,不同深度、温度、压力条件下所沉淀矿物组合明显不同,形成明显矿化分带的现象。岩浆侵位和结晶分异的过程中,由于钨钼和铅锌银矿的赋存位置不同,随着成矿流体温度逐渐降低,压力和pH值不断变化,围岩中的流体发生不同反应,导致金属矿物发生沉淀的位置不同(Zhao et al., 2021),在矿田中部岩体近端形成钨钼锡中高温元素异常带(赵正等, 2022),而铅锌银(金)等成矿元素则向渗透性较高的裂隙带远端汇聚。故本文认为银坑钨钼矿床与铅锌银多金属矿床为同期构造岩浆事件控制的同一岩浆热液系统产物。
综合成矿岩浆岩以及成矿热液的研究情况来看,该成矿系统的演化存在2种潜在的可能性:其一,源于壳源物质重熔所产生的同源岩浆热液演化模式,在此模式下,岩体侵位前端呈现侧向分带特征,而岩体外围的有利构造裂隙带成为铅锌银矿勘查的优势方向,在银坑矿田范围内,部分浅部表现为铅锌银矿的矿床,在其深部区域或者朝着岩体一侧的中高温分带区域中,有望探寻到钨钼矿的踪迹;其二,基于幔源岩浆注入壳源岩浆而引发的演化路径中,深部存在另一个偏中酸性的岩浆热中心(Zhao et al., 2018),从而形成上脉下体的垂向分带构造,预测在深部区域具备斑岩-矽卡岩型钨多金属矿的良好找矿前景。
5结论银坑地区钨钼和铅锌银多金属矿床同时空产出,本文通过成矿流体对比研究,探讨了两者成因关系,获得如下主要认识:
(1)钨钼矿的成矿流体来源单一,主要为岩浆水,后期有少量雨水参与;而铅锌银的成矿流体则具有多来源的特征,主体源自岩浆水,后期有变质水和大气水的参与,指示钨钼和铅锌银成矿热液可能来自同一岩浆源,但铅锌银成矿流体演化过程中经历了复杂的交代作用,这与其矿体明显受断裂或破碎带控制相对应。
(2)银坑矿田钨钼矿发育富含气液的两相包裹体和含CO2的三相水溶液包裹体,总体为中低温、中低盐度、中等密度和中低压CO2-NaCl-H2O流体体系;而铅锌银矿脉石矿物中主要为气液两相包裹体和纯气相包裹体,以及少量含CO2的三相水溶液包裹体,总体为中低温、中低盐度、中等密度和中高压NaCl-H2O流体体系。尽管钨钼矿在成矿过程中从早期到晚期温度变化不大,但两类矿床均随着流体温度的降低,盐度和压力降低,密度呈不同范围增加,成矿早期二者均为含CO2成矿流体,指示矿田尺度共生的两类矿化可能来自同一岩浆源区。
(3)结合成矿岩浆岩和成矿热液研究,该成矿系统演化存在2种可能:一种是壳源物质重熔的同源岩浆热液演化,岩体近位前端的侧向分带,岩体外围有利构造裂隙带为铅锌银矿有利找矿方向,向深部近岩体部位发育中高温钨钼矿化;另一种可能是幔源岩浆注入的壳源岩浆演化,深部存在另一个偏中酸性的岩浆热中心,形成上脉下体的垂向分带,而深部隐伏岩体则为斑岩-矽卡岩型钨多金属找矿有利区。
致 谢本文实验工作得到了蓝廷广研究员、蔡佳丽等多位实验室老师的指导;编辑部和审稿专家对论文提出了宝贵的修改意见,在此表示衷心的感谢!
表1张家地矿床石英中流体包裹体显微测温结果表Table 1 Microthermometry results table of fluid inclusions in Zhangjiadi deposit成矿阶段
包裹体类型
包裹体数/个
长轴直径/μm
气相分数/%
包裹体形态
完全均一温度/℃
笼合物熔化温度/℃
冰点/℃
w(NaCleq)/%
密度/
(g/cm3)
压力/MPa
黑钨矿-石英阶段
V-L型
20
4~14,个别达22
10~30
椭圆形、不规则形、负晶形、长条形、长方形
178~325
平均值为256
-5.7~
-2.5
4.18~8.81
平均值为6.56
0.75~0.94
平均值为0.85
6~54
平均值为24
V-L-CO2型
7
7~17
20~70
浑圆形、负晶形、不规则形
288~356
平均值为329
4.5~6.5
6.63~9.84
平均值为8.18
辉钼矿-黄铁矿阶段
V-L型
50
4~12
10~20
不规则形、长方形、椭圆形、负晶形、长条形
172~295
平均值为227
-5.0~
-5.5
3.39~7.86
平均值为5.53
0.79~0.94
平均值为0.88
4~46
平均值为19
V-L-CO2型
17
7~21
20~50
不规则形、负晶形、长方形
244~315
平均值为277
5.5~7.2
5.41~8.29
平均值为6.60
晚期硫化物-碳酸盐阶段
V-L型
36
3~10
5~25
负晶形、不规则形、长方形、椭圆形、长条形
151~262
平均值为206
-4.0~
-1.5
2.57~6.45
平均值为4.57
0.83~0.95
平均值为0.90
3~43
平均值为16
注:表中所测矿物后括号中的数字为所测矿物个数;“-”代表无数据。表2牛形坝矿床石英中流体包裹体显微测温结果表Table 2 Microthermometry results table of fluid inclusions of quartz in Niuxingba deposit成矿阶段
包裹体数/个
长轴直径/μm
气相分数/%
包裹体形态
包裹体类型
完全均一温度/℃
笼合物熔化温度/℃
冰点
/℃
w(NaCleq)/%
密度/(g/cm3)
压力/MPa
石英-黄铁矿阶段
30
3~16
10~30
纺锤形、不规则形、椭圆形
V-L型
300~375平均值为320
-6.3~-3.4
5.56~9.60平均值为7.57
0.76~0.92平均值为52
44~184平均值为106
石英-多金属硫化物阶段
58
1~12,个别达27
10~70
六方棱锥、纺锤形、不规则形、椭圆形
V-L型
211~298平均值为245
-6.3~-3.2
5.26~9.60平均值为7.40
0.77~0.93平均值为0.85
18~83平均值为45
26
5~14
5~30
纺锤形、不规则形、椭圆形
V-L-CO2型
223~295平均值为257
5.3~8.2
1.05~8.51平均值为6.57
0.75~0.91平均值为0.81
22~72平均值为
石英-碳酸盐阶段
18
3~7
5~25
椭圆形、不规则形、负晶形
V-L型
150~209平均值为181
-7.6~-2.2
3.71~11.22平均值为7.62
0.89~0.97平均值为0.93
5~18平均值为10
注:表中所测矿物后括号中的数字为所测矿物个数;“-”代表无数据。表3银坑地区各类矿床流体包裹体测温结果Table 3 Temperature measurement results table of fluid inclusions in various deposits in Yinkeng area矿床
成矿阶段
代表性矿物
均一温度/℃
w(NaCleq)/%
密度/(g/cm3)
压力/MPa
资料来源
张家地
黑钨矿-石英阶段
石英
178~356
4.18~9.84
0.75~0.94
6~54
本文
辉钼矿-黄铁矿-石英阶段
石英
172~315
3.39~8.29
0.79~0.94
4~46
晚期硫化物-碳酸盐阶段
石英
151~262
2.57~6.45
0.83~0.95
3~43
岩前
早期矽卡岩阶段
石榴子石
300~510
4.96~10.49
0.43~0.82
32~108
刘畅等,2018
晚期矽卡岩阶段
白钨矿、石英
230~300
2.20~8.68
0.82~0.90
21~64
石英-硫化物-碳酸盐阶段
方解石、石英、白钨矿
100~230
1.23~10.24
0.89~1.01
10~62
牛形坝
石英-黄铁矿阶段
石英
300~375
5.26~9.60
0.76~0.92
44~184
本文
石英-多金属硫化物阶段
石英
211~298
1.05~8.51
0.75~0.91
22~72
石英-碳酸盐阶段
石英
151~209
3.71~11.22
0.89~0.97
5~18
留龙
早期黄铁矿-石英阶段
石英
294~330
2.70~4.40
0.68~0.72
60~68
王苹等,1998
中期富硫化物-石英阶段
石英
210~286
2.70~4.30
0.70~0.84
50~70
晚期碳酸盐-石英阶段
石英
155~208
0.85~4.3
0.83~0.94
40~50
注:表中所测矿物后括号中的数字为所测矿物个数;“-”代表无数据。表4张家地钨钼矿床石英流体包裹体氢、氧同位素组成Table 4 Composition of hydrogen and oxygen isotopes in quartz fluid inclusions in Zhangjiadi tungsten-molybdenum deposit样号
测试矿物
δ18OV-SMOW/‰
δDV-SMOW/‰
δ18OH2O/‰
t/℃
LJZV3-1a
石英
13.1
-57
5.26
287.93
LJZV3-1b
石英
13.3
-52
5.46
287.93
WNPV15-1a
石英
13.2
-56
4.30
262.15
WNPV15-1b
石英
13.3
-54
4.40
262.15
WNPV15-2a
石英
13.2
-58
3.26
240.00
WNPV15-2b
石英
13.9
-54
3.96
240.00
WNPV15-3a
石英
12.5
-59
0.66
205.69
WNPV15-3b
石英
12.4
-54
0.56
205.69
注:表中所测矿物后括号中的数字为所测矿物个数;“-”代表无数据。表5国内外钨钼和铅锌银矿床物理化学条件对比表Table 5 Comparison of physical and chemical conditions of tungsten, molybdenum and lead-zinc-silver deposits at home and abroad矿床
矿化类型、蚀变矿物组合及成矿阶段
所测矿物
包裹体类型
完全均一温度/℃
w(NaCleq)/%
压力/MPa
参考文献
Agylki还原钨(W-Cu-Au-Bi)矽卡岩型矿床
含白钨矿和硫化物的石英-辉石-角闪石退变质矽卡岩
石英(18)
富气相包裹体
320~340
14.0~17.3
140±200
Soloviev et al.,2020
含有白钨矿和硫化物的石英-角闪石-绿泥石(青绿石)蚀变组合
石英、白钨矿(42)
气液两相包裹体
220~290
13.7~8.8
110~800
石英-绢云母-碳酸盐(页岩到碳酸盐-页岩)蚀变组合
石英、白钨矿(20)
富气相包裹体
900±100
石英、白钨矿(25)
气液两相包裹体
280~320
石英、白钨矿(22)
气液两相包裹体
200~250
14.0~17.8
60
Glafirinskoe及相关矽卡岩Cu-Au-W-Mo矿床
退变质石英-石榴子石矽卡岩和钙质钾化蚀变矿物
石榴子石、石英(13)
富气相包裹体
560~580
2.6~2.9
Soloviev et al.,2021b
石榴子石、石英(18)
气液两相包裹体
240~245;570~280
34~34.4
糜棱岩化蚀变矿物
石英(35)
气液两相包裹体
305~315
7.6~8.4
80~120
碳酸盐化矿物
石英(22)
富气相包裹体
-
140±5
石英(30)
气液两相包裹体
270~290
8.5
石英(20)
气液两相包裹体
115~120
19.8~20.2
Tyrnyauz矽卡岩W-Mo和网状Mo(-W)到Au(Mo,W,Bi,Te)矿床
辉石-石榴子石矽卡岩
石榴子石(18)
气液两相包裹体
365~375
NaCl 2.4~3.1
130±20
Soloviev et al.,2021a
石英-辉石-石榴子石矽卡岩夹辉钼矿矿物
辉石、石榴子石、石英、辉钼矿(16)
含子晶包裹体
90~115;190~220;340~350;455~465
NaCl 42~45;CaCl2 25~28;KCl 20~23
140±10
矽卡岩期石英-石榴子石-辉石-长石、含辉钼矿石英脉及少量白钨矿矿物
石英(62)
气液两相包裹体
390~420
NaCl4±2
50±5
石英(44)
气液两相包裹体
390~420
NaCl4±2
成矿晚期石英-辉石-闪锌矿-方解石脉,含白钨矿矿物
石英、白钨矿(7)
富气相包裹体
-
50~60
石英、白钨矿(12)
含子晶包裹体
280~290;470~520;600~650
NaCl 44~55;CaCl2 15~17;KCl 23~28
绢云母化蚀变:石英-辉钼矿(±白钨矿)和石英-硫化物(Cu-Zn)脉
石英(5)
气液两相包裹体
340~380
50±5
石英(10)
气液两相包裹体
280~330;350~370
NaCl 25~30;CaCl218~20
石英、闪锌矿(8)
气液两相包裹体
320~330
NaCl22±0.2
>50
石英-绢云母-碳酸盐蚀变:石英-硫化物脉,含W-Au-Bi-As-Te-Sb矿物
石英(38)
气液两相包裹体
320~350
NaCl4~9
>15
黄沙坪多金属矿床
早矽卡岩阶段的矽卡岩有关石榴子石-阳起石矿物
石榴子石(6)
富气相包裹体
>600
3.06~4.65
60~80
黄诚等,2013
石榴子石(42)
含子晶包裹体
527.9~>600
40~42.7
阳起石(9)
含子晶包裹体
568.2~>600
43.1~45.5
晚矽卡岩阶段与W-Mo矿化有关的白钨矿、萤石和方解石
黄色白钨矿(8)
富液相包裹体
366.4~484.6
8.4~9.3
60~80
黄色白钨矿(28)
含子晶包裹体
346.6~487.9
37.2~44.6
紫色萤石(26)
富液相包裹体
174.5~310.2
5.11~19.13
10~25
紫色萤石(17)
富液相包裹体
229.5~354.8
6.5~16.5
紫色萤石(7)
含子晶包裹体
200~251.8
34.7~40.6
紫色萤石(1)
含子晶包裹体
310.7
36.8
绿色萤石(9)
富液相包裹体
160.1~303.2
7.86~14.77
绿色萤石(1)
含子晶包裹体
279
15.42
无色萤石(82)
富液相包裹体
150~380.9
3.55~15.76
无色萤石(4)
富液相包裹体
236~252
14.87~15.42
方解石(12)
富液相包裹体
283.5~404.7
9.21~23.18
矿床
矿化类型、蚀变矿物组合及成矿阶段
所测矿物
包裹体类型
完全均一温度/℃
w(NaCleq)/%
压力/MPa
参考文献
黄沙坪多金属矿床
硫化物期与Mo矿化有关脉中的石英
富液相包裹体
富气相包裹体
CO2包裹体
5.86~16.24
13.29~17.34
8.82
黄诚等,2013
石英(17)
石英(7)
石英(1)
227.6~371.7
316.1~435.4
236.9
硫化物期与Zn-Pb矿化有关的萤石
绿色萤石(19)
富液相包裹体
134.6~234.5
1.91~8.28
绿色萤石(21)
富液相包裹体
167.3~313.2
9.74~16.58
无色萤石(40)
富液相包裹体
148~306.7
0.88~11.7
无色萤石(6)
富液相包裹体
202~274.5
11.89~15.31
柿竹园多金属矿床
云英岩脉中的石英、萤石、黑钨矿和白钨矿
黑钨矿(10)
富液相包裹体
342~378
8.3~11.0
王璐璐等,2020
白钨矿(14)
富液相包裹体
233~301
4.5~9.0
石英(11)
富液相包裹体
200~389
6.5~10.1
石英(6)
富气相包裹体
339~423
石英(14)
富液相包裹体
236~301
4.5~9.0
萤石(15)
富液相包裹体
180~305
2.6~9.2
银坑银铅锌矿床(牛形坝矿床)
石英-黄铁矿阶段
石英(30)
气液两相包裹体
300~375
5.56~9.60
44~184
本文
石英-多金属硫化物阶段
石英(58)
气液两相包裹体
211~298
5.26~9.60
18~83
石英(26)
含CO2包裹体
223~295
1.05~8.51
22~72
石英-碳酸盐阶段
石英(18)
气液两相包裹体
150~209
3.71~11.22
5~18
银坑钨钼矿床(张家地矿床)
黑钨矿-石英阶段
石英(20)
气液两相包裹体
178~325
4.18~8.81
6~54
本文
石英(7)
含CO2包裹体
288~356
6.63~9.84
辉钼矿-黄铁矿阶段
石英(50)
气液两相包裹体
172~295
3.39~7.86
4~46
石英(17)
含CO2包裹体
244~315
5.41~8.29
晚期硫化物-碳酸盐阶段
石英(36)
气液两相包裹体
151~262
2.57~6.45
3~43
注:表中所测矿物后括号中的数字为所测矿物个数;“-”代表无数据。
图2张家地钨钼矿地质图(据丰成友等,2015) 1—第四系;2—震旦系下统下坊组变质碎屑岩;3—燕山早期中细粒斑状黑云母花岗岩;4—花岗斑岩;5—地质界线;6—断层;7—矿体;8—采样位置
Fig.2 Geological map of the Zhangjiadi tungsten-molybdenum deposit (after Feng et al., 2015) 1—Quaternary;2—Metamorphic clastic rocks of Lower Sinian Xiafang Formation;3—Early Yanshanian medium-fine grained porphyritic biotite granite;4—Granite porphyry;5—Geological boundary; 6—Fault;7—Orebody; 8—Sampling location
图3张家地矿床矿石照片 a.第一阶段的钾长石-辉钼矿矿石,辉钼矿与黄铁矿共生,辉钼矿呈细脉状产出,黄铁矿呈浸染状分布;b.钾化,少量辉钼矿呈细脉状产出; c.第二阶段的辉钼矿-黄铁矿矿石;d.黄铁绢英岩化,辉钼矿呈细脉状产出,黄铁矿集合体呈粒状产出;e.中粒黑云母花岗岩,黑云母分布于石英之中;f.第三阶段的裂隙充填型辉钼矿矿石,辉钼矿集合体呈团斑状产出 Py—黄铁矿;Mo—辉钼矿;Kfs—钾长石;Bt—黑云母;Qtz—石英
Fig.3 Ore photos of Zhangjiadi deposit a. The first stage of feldspar-molybdenite ore, molybdenite and pyrite symbiosis, molybdenite occurs as a fine vein, pyrite was disseminated distribution; b. Potassium, see a small amount of molybdenite was fine vein output; c. The second stage of molybdenite-pyrite ore; d. Sericite-quartzization, molybdenum ore occurs as a fine vein output, pyrite aggregate is granular output; e. Medium grained biotite granite, biotite is distributed in quartz; f. The third stage of fracture filling type molybdenite ore, molybdenite aggregate was spotted output Py—Pyrite; Mo—Molybdenite; Kfs—K-feldspar; Bt—Biotite; Qtz—Quartz
图4牛形坝矿床地质简图(据陈毓川等,2021修改) 1—第四系;2—中侏罗统罗坳组;3—上二叠统乐平组;4—中二叠统车头组;5—中二叠统小江边组;6—中二叠统栖霞组;7—上石炭统大埔组;8—下石炭统梓山组;9—中泥盆统云山组;10—上南华统沙坝黄组;11—下南华统上施组;12—上青白口统库里组;13—加里东期花岗岩; 14—燕山早期花岗岩;15—隐爆角砾岩;16—石英闪长玢岩(λδμ)、闪长玢岩(δμ)、花岗斑岩(γπ)、石英斑岩(λπ)、花岗闪长岩脉(γδπ); 17—铜铅锌多金属矿带;18—地质界线;19—断裂;20—地层产状
Fig.4 Geological sketch of Niuxingba deposit(modified after Chen et al.,2021) 1—Quaternary; 2—Middle Jurassic Luo 'ao Formation; 3—Upper Permian Leping Formation; 4—Middle Permian Chetou Formation; 5—Middle Permian Xiaojiangbian Formation; 6—Middle Permian Qixia Formation; 7—Upper Carboniferous Dapu Formation; 8—Lower Carboniferous Zishan Formation; 9—Middle Devonian Yunshan Formation; 10—Upper Nanhua Shabahuang Formation; 11—Lower Nanhuatong Shangshi Formation; 12—Shangqingbaikoutong Kuli Formation; 13—Caledonian granite; 14—Early Yanshanian granite; 15—Cryptoexplosive breccia; 16—Quartz diorite porphyrite(λδμ), diorite porphyrite(δμ), granite porphyry(γπ), quartz porphyry(λπ), granodiorite vein(γδπ); 17—Copper-lead-zinc polymetallic ore belt; 18—Geological boundary;19—Fracture; 20—Stratigraphic occurrence
图5牛形坝铅锌银矿床矿石照片 a.石英-黄铁矿,黄铁矿呈脉状分布;b.黄铁矿化,闪锌矿和黄铁矿共伴生,集合体呈脉状产出;c、d.黄铁矿和黄铜矿的致密块状矿石,黄铁矿为浅铜黄色,少量呈粒状,黄铜矿颜色较深为黄铜色;e、f.铅锌矿矿石,黄铁矿为浅铜黄色,粒状;方铅矿为铅灰色,立方体粒状结构;闪锌矿为铅灰色,粒状,方铅矿和闪锌矿为粒状、致密块状集合体 Py—黄铁矿;Ccp—黄铜矿;Sph—闪锌矿;Gn—方铅矿;Qtz—石英
Fig.5 Ore photos of Niuxingba lead-zinc-silver deposit a. Quartz-pyrite, pyrite is veined distribution; b. Pyritization, sphalerite and pyrite are associated with each other, and the aggregates are vein-like; c, d. Dense massive ore of pyrite and chalcopyrite, pyrite is light copper yellow, a small amount of granular, chalcopyrite darker color is brass; e, f. Lead-zinc ore, pyrite is light copper yellow, granular;the galena is lead gray, cubic granular structure;sphalerite is lead gray, granular. Galena and sphalerite are granular and dense block aggregates. Py—Pyrite;Ccp—Chalcopyrite;Sph—Sphalerite;Gn—Galena;Qtz—Quartz
图6张家地钨钼矿床与牛形坝铅锌银矿床流体包裹体显微照片 a、b、d、e.张家地钨钼矿床石英包裹体中的气液两相包裹体;c、f.张家地钨钼矿床石英包裹体中的含CO2的三相水溶液包裹体;g、h、i~k.牛形坝铅锌银矿床石英包裹体中的气液两相包裹体;l.牛形坝铅锌银矿床石英包裹体中的富气相包裹体 Qtz—石英;L(H2O)—液相水;V(H2O)—气相水;L(CO2)—液相CO2;V(CO2)—气相CO2
Fig.6 Microscopic photos of fluid inclusions in Zhangjiadi tungsten-molybdenum deposit and Niuxingba lead-zinc-silver deposit a, b, d, e. Gas-liquid two-phase inclusions in quartz inclusions of Zhangjiadi tungsten-molybdenum deposit;c, f. CO2-bearing three-phase aqueous inclusions in quartz inclusions of Zhangjiadi tungsten-molybdenum deposit;g, h, i~k. Gas-liquid two-phase inclusions in quartz inclusions of Niuxingba lead-zinc-silver deposit;l. Gas-rich inclusions in quartz inclusions of Niuxingba lead-zinc-silver deposit Qtz—quartz;L(H2O)—Liquid H2O; V(H2O)—Vapor H2O; L(CO2)—Liquid CO2; V(CO2)—Vapor CO2
图7银坑地区4个矿床成矿流体均一温度(a)、盐度(b)、密度(c)和压力(d)对比图 1—岩前早期矽卡岩阶段;2—岩前晚期矽卡岩阶段;3—岩前石英-硫化物-碳酸盐阶段;4—张家地黑钨矿-石英阶段;5—张家地辉钼矿-黄铁矿-石英阶段;6—张家地晚期硫化物-石英阶段;7—留龙黄铁矿-石英阶段;8—留龙富硫化物-石英阶段;9—留龙碳酸盐-石英阶段; 10—牛形坝石英黄铁矿阶段;11—牛形坝石英-多金属硫化物阶段;12—牛形坝石英-碳酸盐阶段 表1张家地矿床石英中流体包裹体显微测温结果表 表2牛形坝矿床石英中流体包裹体显微测温结果表 表3银坑地区各类矿床流体包裹体测温结果 表4张家地钨钼矿床石英流体包裹体氢、氧同位素组成
Fig.7 Comparison of ore-forming fluid distribution map of homogeneous temperature (a), salinity (b), density (c) and pressure (d) in each stage of four deposits in Yinkeng area 1—Early Yanqian skarn stage; 2—LateYanqian skarn stage; 3—Yanqian quartz-sulfide-carbonate stage; 4—Zhangjiadi wolframite-quartz stage; 5—Zhangjiadi molybdenite-pyrite-quartz stage; 6—Late Zhangjiadi sulfide-quartz stage; 7—Liulong pyrite-quartz stage; 8—Liulong rich sulfide-quartz stage; 9—Liulong Carbonate-quartz stage; 10—Niuxingba quartz-pyrite stage; 11—Niuxingba quartz-polymetallic sulfide stage; 12—Niuxingba quartz-carbonate stage Table 1 Microthermometry results table of fluid inclusions in Zhangjiadi deposit Table 2 Microthermometry results table of fluid inclusions of quartz in Niuxingba deposit Table 3 Temperature measurement results table of fluid inclusions in various deposits in Yinkeng area Table 4 Composition of hydrogen and oxygen isotopes in quartz fluid inclusions in Zhangjiadi tungsten-molybdenum deposit
图8银坑地区部分成矿流体δ18OH2O-δDV-SMOW图解 (其中,岩前数据源于曾载淋(2012);留龙数据源于刘善宝(2010),张乾等(1995);江西省地质局赣南地质调查大队(1991);牛形坝数据源于 丰成友等(2009);全淦(1995);张家地数据见本文)
Fig.8 δ18OH2O-δDV-SMOW diagram of some ore-forming fluids in Yinkeng area (Among them, Yanqian data are derived from Zeng, 2012; Liulong data is derived from Liu, 2010, Zhang et al., 1995; Gannan Geological Survey Team of Jiangxi Geological and Mineral Bureau, 1991; Niuxingba data from Feng et al., 2009; Quan, 1995; Zhangjiadi data are shown in this study )
图9银坑地区铅锌银矿床的矿石硫化物的δ34S柱状图 留龙数据来自刘善宝(2010);牛形坝数据来自丰成友等(2009);江西地矿局赣南地调队(1991) 表5国内外钨钼和铅锌银矿床物理化学条件对比表
Fig.9 Columnar diagram of δ34S of sulfides from lead-zinc-silver deposit in Yinkeng area Among them, the data of Liulong are from Liu, 2010;Niuxingba data from Feng et al., 2009;Jiangxi Geological and Mineral Bureau Gannan Geological Survey Team, 1991
-
参考文献
摘要
银坑矿田位于南岭成矿带东段赣南地区,矿田内发育石英脉-云英岩型钨钼矿化和热液脉型铅锌银多金属矿化,两者空间上紧密共生,且成岩成矿时间上基本一致(160~150 Ma),是研究岩浆热液型钨钼与铅锌银多金属共生成矿机制的理想地区。文章在矿床地质工作的基础上,重点对银坑矿田钨钼矿和铅锌银矿的成矿流体来源、流体包裹体矿相学、流体包裹体的温度-压力-密度条件进行了系统对比分析。银坑钨钼(张家地)成矿主要经历了早期黑钨矿-长石-石英阶段、辉钼矿-黄铁矿阶段、晚期硫化物-碳酸盐阶段,发育富含气液两相包裹体和含CO2的三相水溶液包裹体,成矿流体主要来自岩浆水,后期有少量大气降水参与,总体为中低温、中低盐度、中等密度和中低压的CO2-NaCl-H2O流体体系。银坑铅锌银(牛形坝)成矿主要经历了早期石英-黄铁矿阶段、石英-多金属硫化物阶段、晚期硫化物-碳酸盐阶段,发育气液两相包裹体和纯气相包裹体以及少量含CO2的三相水溶液包裹体,成矿流体主要来自岩浆水,后期有变质水和大气水的参与,总体为中低温、中低盐度、中等密度和中高压的NaCl-H2O流体体系。综合分析显示,钨钼在中低温和中低压的条件下沉淀,铅锌银在中低温和中高压的条件下沉淀,银坑矿田钨钼和铅锌银成矿流体具有一定继承演化关系,推断为与花岗质侵入岩相关的同一成矿系统产物,以此提出了银坑矿田深部找矿方向,为南岭东段矿产勘查提供了新的理论基础。
Abstract
The Yinkeng ore field is located in the eastern part of the Nanling metallogenic belt in southern Jiangxi. The quartz vein-greisen type tungsten-molybdenum mineralization and hydrothermal vein type lead-zinc-silver polymetallic mineralization are developed in the ore field. They are closely associated with the intrusion emplacement, in space and the time and mineralization is basically the same (160~150 Ma). It is an ideal area for studying the co-generation mechanism of magmatic hydrothermal tungsten-molybdenum and lead-zinc-silver polymetallic. Based on the geological work of the ore deposits, this paper focuses on the systematic comparative analysis of the source of ore-forming fluids, the mineragraphy of fluid inclusions, and the temperature-pressure-density conditions of fluid inclusions in the tungsten-molybdenum ore and lead-zinc-silver ore in the Yinkeng ore field. The tungsten-molybdenum mineralization in Yinkeng (Zhangjiadi) mainly experienced the early wolframite-feldspar-quartz stage, molybdenite-pyrite stage, and late sulfide-carbonate stage, and developed gas-liquid two-phase inclusions and CO2-containing three-phase aqueous inclusions. The ore-forming fluid mainly comes from magmatic water, and a small amount of atmospheric is involved in the later stage. Overall it is a CO2-NaCl-H2O fluid system with medium-low temperature, medium-low salinity, medium density and medium-low pressure. The lead-zinc-silver mineralization in Yinkeng (Niuxingba) mainly experienced the early quartz-pyrite stage, quartz-polymetallic sulfide stage, and late sulfide-carbonate stage. Gas-liquid two-phase inclusions and pure gas-phase inclusions and a small amount of CO2-containing three-phase aqueous inclusions were developed. The ore-forming fluid mainly comes from magmatic water, and the later stage has the participation of metamorphic water and atmospheric water. Overall it is a NaCl-H2O fluid system with medium-low temperature, medium-low salinity, medium density and medium-high pressure. Comprehensive analysis shows that tungsten and molybdenum are precipitated under the conditions of medium-low temperature and medium-low pressure, and lead, zinc and silver are precipitated under the conditions of medium-low temperature and medium-high pressure. The ore-forming fluids of tungsten, molybdenum and lead, zinc and silver in Yinkeng ore field have a certain inheritance and evolution relationship, which is inferred to be the product of the same metallogenic system related to granitic intrusive rocks. Based on this, the deep prospecting direction of the Yinkeng ore field is proposed, which may provides a new theoretical basis for mineral exploration in the eastern part of Nanling.
