en
×

分享给微信好友或者朋友圈

使用微信“扫一扫”功能。
目录contents

    摘要

    湖南观音堂锑矿位于雪峰弧形构造带内,以往勘查工作均围绕NE走向的矿脉展开,而对近期发现的NWW走向矿脉研究尚属空白。文章旨在综合新地质事实基础上阐明矿床地质特征及控矿因素,深化成矿规律认识,建立综合找矿模型,指导矿区深边部及外围锑矿勘探工作。文章针对区内地层、构造及矿体特征进行系统的野外调查,对成矿相关元素分析化验,综合分析其对成矿指示作用。调查研究显示,观音堂锑矿床赋矿地层主要为震旦系留茶坡组厚层硅质岩,金家洞组底部白云岩次之。矿石以辉锑矿为主,围岩蚀变类型包括褪色化、硅化、碳酸盐化、石墨化等。矿体分布严格受褶皱和断裂复合控制,轴向NE的宽缓背斜轴部及附近和NE、NWW向断裂为主要容矿空间。矿区内留茶坡组硅质岩Sb、Zn及金家洞组As、Sb、Pb、Zn元素存在明显富集特征;Sb与Cd、Zn元素具有良好亲缘性,共同构成最主要的指示元素,圈定出AS-1~AS-4共4个土壤元素组合异常。建立了硅质岩、白云岩赋矿,背斜轴部叠加NE/NWW断裂复合控矿,Sb高异常为指示的观音堂锑矿综合找矿模型。以上结果表明,观音堂锑矿为主要赋存于震旦系硅质岩中的典型裂隙充填型锑矿,褶皱和断裂叠加,尤其是与多期断裂叠加对锑矿勘查具有重要指导意义,良好的虚脱空间具有巨大的成矿潜力;Sb、Cd、Zn致矿元素异常组合对寻找锑矿具有良好指示作用;矿区北东部溜溪坑以及南东部的赔机冲背斜具有良好找矿远景。

    Abstract

    The Guanyintang antimony deposit is located within the Xuefeng Arc Structural Belt. All past exploration work has focused exclusively on NE-trending ore veins, while studies on the newly identified NWW-trending vein remain completely unstudied. This study aims to elucidate geological characteristics and ore-controlling factors of the deposit based on new emerging geological evidence, advance the understanding of metallogenic regularity, establish an integrated prospecting model, and guide antimony exploration in deep extensions and peripheral zones of the mining area. This investigation systematically conducted field surveys on stratigraphy, structures, and ore body characteristics within the study area, performed multi-element geochemical analysis of mineralization-related elements, and comprehensively integrated results to determine their prospecting significance. Research indicates that the host strata of the Guanyintang antimony deposit are primarily composed of thick-bedded chert from the Sinian Liuchapo Formation, with subordinate dolostone at the base of the Jinjia-dong Formation. The ore mineralization is dominated by stibnite, associated with wall-rock alterations including bleaching, silicification, carbonatization, and graphitization. Distribution of antimony orebodies is rigorously controlled by superimposed folding and faulting structures. The axial zones and periclines of broad, gentle NE-trending anticlines, along with NE-striking and NWW-striking fracture systems, constitute the principal hosting spaces. Within the mining area, distinct enrichment of Sb and Zn in the Liuchapo Formation siliceous rocks, as well as As, Sb, Pb, and Zn in the Jinjiadong Formation, has been identified. Sb exhibits strong geochemical consanguinity with Cd and Zn, jointly constituting the primary indicator suite. Four integrated geochemical anomalies (AS-1 to AS-4) have been delineated in soil surveys based on elemental associations. An integrated exploration model for the Guanyintang antimony deposit has been established, characterized by mineralization in siliceous rocks and dolomite, structural control through anticlinal axes superimposed by NE/NWW-trending faults, and Sb-high anomalies as the primary geochemical indicator. The results demonstrate that the Guanyintang antimony deposit represents a typical fissure-filling type mineralization predominantly hosted in Sinian siliceous rocks. The superimposition of folds and faults—particularly multiphase fault systems—provides critical guidance for Sb exploration, with dilational structural voids exhibiting unexpectedly high mineralization potential. The Sb-Cd-Zn pathfinder elemental association serves as a robust indicator for antimony prospecting. Additionally, the Liuxikeng area (northeast) and Peijichong anticline (southeast) constitute high-priority exploration targets.


  • 锑是中国战略性矿产之一(王登红,2019;李建武等,2023),它通常作为工业添加剂使用于阻燃剂、电池、半导体、着色剂、澄清剂、机械设备及军工金属制品等,在战略性新兴产业中应用广泛,锑的安全供给属于保障国家资源安全战略的重要组成部分(李增达等,2014;翟明国等, 2019;2021;李光明等,2021;崔祖霞,2023;李建武等,2023)。中国是锑矿储量最丰富的国家,湖南锑储量占全国最多,矿床分布广泛,具有规模大、矿石类型简单、矿石品位较富、常与金、钨资源共生等特征,如锡矿山(彭建堂等,2002a;2002b;Fan et al., 2004;马东升等,2022)、沃溪(彭建堂等,2003;Gu et al., 2012; Li et al., 2022)、渣滓溪(鲍振襄,1990;彭建堂等,2008;卢志文等,2015;胡阿香等,2020)、板溪(Li et al., 2018)以及近年来增储的观音堂等矿床(图1)。

    观音堂锑矿位于渣滓溪矿田中,属同一成矿系统。观音堂锑矿开发历史可追溯到建国初,勘查思路一直是追索NE走向(近)顺层矿脉及其平行矿脉,近年来勘查新发现NWW向矿脉,打开了找矿新空间。NE向、NWW向2种走向的矿脉大致均等容矿,这样的锑矿床是湖南地区的罕见样本。这一独特的矿床模型对于矿床深边部乃至周缘锑矿勘查有什么理论价值?它的勘查地球化学特征对于远景分析有什么指导意义?是本文的研究方向。

    结合勘查工作,通过矿床地质调查及岩石地化、水系沉积物、土壤地化手段,分析原生晕、分散流、次生晕3种地化异常特征,对观音堂锑矿进行远景分析;总结适用本类型矿床的次生晕元素组合。从而建立观音堂综合找矿模型,具同类型矿床勘查适用性的地化元素组合,并圈定观音堂外围有利远景区,助力观音堂及周缘同类型锑矿的找矿突破。

    1 区域地质背景

    观音堂锑矿床处于扬子板块东南缘,雪峰弧形构造成矿带中段,区域溆浦-靖州大断裂旁侧渣滓溪锑矿成矿带,成矿地质条件优越(图1)(柏道远等,2015;2022)。

    区域地层由老至新发育青白口系冷家溪群、板溪群,南华系,震旦系—志留系,泥盆系—下三叠统,上三叠统—中侏罗统,白垩系—古近系等,其中冷家溪群为活动陆缘碎屑沉积,发育一套巨厚的砂岩、粉砂岩、泥岩和凝灰质岩,普遍浅变质;板溪群为一套裂谷盆地砂、泥质碎屑沉积,发育厚度较大的碎屑岩、泥质岩、凝灰质岩夹少量碳酸盐岩、碳质板岩、熔岩;南华系为一套裂谷盆地砂岩、板岩、含砾泥岩-粉砂岩组合;震旦系—下奥陶统为被动大陆边缘盆地陆源碎屑夹少量碳酸盐岩、硅质沉积岩,碳质板岩、含碳质板岩夹灰岩;中奥陶统—志留系为前陆盆地砂、泥质沉积;泥盆系—下三叠统为陆表海碳酸盐岩、陆源碎屑夹硅质沉积;上三叠统—中侏罗统为陆相挤压类前陆盆地碎屑沉积,其中上三叠统以砂泥岩为主,局部夹煤层,中侏罗统以紫红色砂泥岩、石英砂岩为主;白垩系为陆相断陷盆地红色碎屑沉积,以砂泥岩、砂砾岩为主;古近系主要发育淡水湖相砂泥岩及盐湖相盐岩、泥膏岩、钙芒硝,局部为碳酸盐岩及油页岩(湖南省地质调查院,2017;李斌等,2018a;2018b)。

    区域经历了雪峰、加里东、印支、燕山等多期构造运动,形成了NE向、NNE向、NEE向和NWW向4组断裂,其中NE向断裂最为发育,与成矿关系最为密切。区内构造线总体呈NE向,NE~NEE向短轴复式褶皱与叠瓦式分布的走滑逆断层相伴产出,多被断层破坏(丘元禧等,1998;陈世悦等,2011,王自强等,2012;柏道远等,2014;2015;2020)。

    雪峰弧形构造带内岩浆岩出露较少,主要岩体分布于其南缘,如白马山、瓦屋堂等地区,为加里东期、印支期岩浆活动的产物,主要岩性为黑云母二长花岗岩和花岗闪长岩(章健等,2011;王川等,2021;刘贤红等,2025)。

    观音堂锑矿位于雪峰弧形成矿带中段,带内分布众多的钨锑金矿床(点),其中典型矿床(点)有渣滓溪(大型)、黑岩屋、曾家溪、羊皮帽、郑家冲等锑(钨)矿床(点)(图1)(何江等,1996;柏道远等,2021)。

    2 矿区地质特征
    2.1 矿区地层

    矿区出露主要地层为南华系上统洪江组(Nh2h),震旦系下统金家洞组(Z1j)、上统留茶坡组(Z2l),寒武系牛蹄塘组(Є1-2n)(图2)。洪江组为一套冰碛砾岩、含砾砂泥岩建造;金家洞组下部为灰白色中厚层状白云岩建造;中部出露黑色碳质板岩夹白云质板岩建造;上部为白云质板岩、碳质板岩、硅质板岩建造,局部相变为灰色层状白云岩。留茶坡组主要为一套硅质岩建造,上部为薄层,中、下部呈中、厚层状。牛蹄塘组(Є1-2n)下部为黑色碳质页岩夹薄层硅质岩建造,局部见磷结核;中上部为黑色碳质页岩夹石煤层、灰岩建造。

    矿区石英细脉非常发育,普遍充填于留茶坡组硅质岩层的节理裂隙中,划分为单脉或脉带型和微细网脉型2种,分枝复合现象明显,脉带密集处,频率每米可达10条;微细网脉型脉宽多小于0.5 mm,呈不规则细网脉状,主要发育于矿带部位的硅质岩中;金家洞组底部白云岩中少量发育,呈环带状出现,多不规则;牛蹄塘组中仅发育于岩层挤压破碎部位,呈不规则脉状或团块状。

    2.2 矿区构造

    观音堂锑矿夹持于和尚岩-洞谭断块上的曾家溪断裂与刘家坪断裂之间,区内构造主要发育断裂、褶皱和节理裂隙。断裂以NE向为主,总体以F2、F4规模较大,NWW向次之,延伸较短;二色溪背斜、观音堂背斜、红脉溪向斜和赔机冲背斜等共同构成区域复式褶皱,次级小挠曲亦非常发育,轴向均为NE向(图2);NE向、NW向节理裂隙发育,以NE向(30°~60°)为主,占含矿裂隙总数的85%以上。

    (1) 断裂特征

    九龙池-岩门坑断裂(F2):该断裂为张性断裂,发育于洪江组与留茶坡组接触部位,受断裂影响,金家洞组仅少量出露。地形呈NE向陡坎地貌,延伸长度约2.1 km,影响范围约20 m,破碎带发育碎裂硅质岩,强硅化,杂乱无章,断层产状300°~330°∠70°~84°(图3a)。

    赔机冲断裂(F4):呈NE向展布,切割洪江组、金家洞组、留茶坡组以及牛蹄塘组,延伸长度约2.9 km,影响范围大于100 m,断裂在第四系地带体现为大型冲沟,切割较深处可见构造破碎带露头,发育构造角砾,破碎带中岩石总体较破碎,岩石褪色化、硅化、碳酸盐化(图3b、c)明显。

    (2) 褶皱特征

    二色溪背斜:发育于牛蹄塘组中,总体轴向NE39°,长度约0.9 km,轴部较平缓,局部发育平卧褶皱,小型背斜、向斜发育(图3d)。

    观音堂背斜:为NE轴向的开阔宽缓背斜,SW方向扬起,NE向倾伏于牛蹄塘组之下。以留茶坡组为核部,地层破碎、塌陷强烈。

    红脉溪向斜:总体轴向NE走向,轴向局部发生变化,长度约1.2 km,轴部较平缓,次级挠曲较发育,并伴随张性、压性小断层,层间挠曲及裂隙较发育(图3e)。

    赔机冲背斜:是区域复式褶皱的主要构成部分,轴向走向约NE40°,轴面倾向NW,长度约1.1 km。在区域上呈正地形地貌,SW方向扬起,NE向倾伏。核部为南华系洪江组,两翼分别为金家洞组、留茶坡组、牛蹄塘组(图3f)。北西翼受区域性NE向逆冲推覆断裂应力影响,地层发生揉皱;南东翼被NE向赔机冲断裂F4逆冲断裂破坏。

    (3) 节理裂隙特征

    剪节理:发育NW向、NE向“X”型,节理面紧闭、平直光滑,无充填物,主要发育于碳质页岩及冰碛砂砾岩(图3g)。

    张性、剪性裂隙:发育于控矿-容矿构造裂隙旁的硅质岩层中,主要为NE向张性裂隙,少部为NW向及NEE向剪性裂隙。前者裂隙面多粗糙不平,延长不远,多充填囊状、团块状锑矿(图3h)。后者与主构造线方向斜交,裂面紧闭平直,锑矿多呈稀疏放射状出现在裂面(图3i)。

    2.3 矿床特征
    2.3.1 矿体特征

    矿体赋存于观音堂宽缓背斜轴部及其次级背斜褶曲的两翼,特别是轴部张性、压性裂隙发育的破碎带及其旁侧的层间破碎带中(邹源等,2016);圈定12个NE向锑矿体,编号Ⅰ~Ⅻ,其中工业矿体6个,低品位矿体6个。仅Ⅰ号矿体出露地表,其他矿体均为隐伏矿体,且规模较小。

    Ⅰ号矿体为主矿体,矿体赋存于震旦系上统留茶坡组硅质岩中,呈NE向展布,长约750 m,平均厚度为1.59 m,最大水平投影宽180 m,最大斜深195 m。矿体分为陡倾斜和缓倾斜两部分。陡倾斜部分具体表现在3线北东部,倾角为48°~66°,局部77°,矿体主要沿层间滑动面及其下部的张扭性主构造面和旁侧的张性、压扭性裂隙充填,而3线南西部分主要沿张扭性断层成矿。由于含矿硅质岩层出露不连续,根据Ⅰ号矿体地表出露情况,可分为不连续的3段:①北东段,以8线(LT1)露天采场为中心,该矿段长40 m,走向70°,倾向SE,倾角53°,厚1.36 m;②中段,以0线(LT2)露天采场为中心,该矿段长72 m,走向50°,倾向SE,倾角48°,厚0.23 m,己为采空区;③南西段,以3~19线(LT3)露天采场为中心,长435 m,走向40°~50°,倾向SE,倾角53°~77°,厚度1.93 m(图4a、b)。

    矿区圈定NWW向矿体3个,编号��~,为近年新探明,主要赋存于NWW向张性断裂中,矿体标高往北有逐渐下降趋势(图4a)。��号矿体走向约280°,倾向NE,倾角约70°~80°,产于断裂上盘370 m标高以上部位;号矿体走向约290°,倾向SW,倾角约85°;号矿体走向EW,南倾,倾角约80°。3条矿脉性质一致,以号矿体为例,矿体延长约330 m,与NE向断裂交汇处厚度最大,矿体厚达10 m,向两端尖灭,主要见矿标高340~410 m。

    矿体总体可分为4种产出状态,前3种主要为NE向顺层脉,第4种为NW向矿脉:①充填于主裂隙中或者2组裂隙交汇部位,呈短而粗的不规则脉状或囊状集合体,厚度为5~10 cm(图5a);②充填于主构造旁侧次级裂隙中或层间裂隙破碎带,呈细脉状、团块状、小扁豆状集合体,厚度为0.2~3 cm(图5b);③辉锑矿呈放射状、板条状、针状晶体散布在各类型裂隙面或晶洞内(图5c)。整体上,第一、二类单脉(体)延长、延深均不大且不稳定,第三类广泛分布于矿带各个部位;④充填于NWW向张性陡倾断裂中,呈致密块状(图5d)、晶簇状、长柱状,前者与石英脉共生,后两者常与方解石共生,延伸稳定。

    2.3.2 矿石特征

    矿石自然类型有原生矿石、氧化矿石和半氧化矿石,以原生矿石为主(图6a~d)。原生矿石辉锑矿未发生任何变化,铅灰色,强金属光泽,单晶矿物晶面条纹清晰(图6c~f);氧化矿石分布零散,平面上不成片,垂直方向亦不成带,局限性很大,仅限于地表暴露部分和深部(距地表约30 m以浅)个别开放型裂隙中,多呈放射状(图5c),就整个矿床而言,氧化矿石所占比例极其微小;半氧化矿石,辉锑矿氧化不完全,由锑华和辉锑矿共同组成(图6a、b)。裂隙面上的单矿物晶体往往部分氧化成锑华;团块状或脉状,透镜状辉锑矿集合体,则是粉末状锑华包裹着辉锑矿(邹源等,2016)。

    矿石有用矿物为辉锑矿,结构以柱状、针状为主,偶见粒状结构。

    矿石构造主要发育(团)块状构造、放射状、树枝状、星散状构造,次为角砾状构造、晶洞构造和浸染状构造(图6a)。

    2.3.3 矿物共生组合

    按矿石物质组分划分为辉锑矿-硅质岩型(图6f)、辉锑矿-白云岩型(图6e)2种类型。辉锑矿-硅质岩型有用矿物主要为辉锑矿,少量车轮矿,脉石矿物为玉髓、石英、黄铁矿及黝铜矿等;辉锑矿-白云岩型有用矿物为辉锑矿,脉石矿物为白云石、方解石、黄铁矿及石英等。

    2.3.4 围岩蚀变

    围岩蚀变类型有:褪色化、硅化、碳酸盐化、石墨化、黄铁矿化及重晶石化。不同部位、不同岩性、蚀变类型不一样。褪色化与辉锑矿有直接关系,通常产出于矿体(脉)边部和地表风化面;硅化比较普遍,主要以石英脉的形式出现,硅质岩中为微细型网脉状,白云岩中为不规则环带状;石墨化出现于NW向矿脉周缘硅质岩与寒武系下统牛蹄塘组黑色碳质页岩接触界面附近,硅质岩层强烈破碎地带;重晶石化局部发育;方解石广泛与NW向晶簇状锑矿共生;黄铁矿化见于留茶坡组含矿层段及金家洞组白云岩,洪江组冰碛岩中多为沉积形成。

    2.4 赋矿地层及控矿构造

    观音堂锑矿为硬质岩裂隙充填型,矿体主要赋存于2个地层单元:①震旦系上统留茶坡组,主要产出于中、下部厚层硅质岩层,上部产出较少,直至寒武系下统牛蹄塘组接触界面,矿体及断裂均迅速消失;②震旦系下统金家洞组薄层硅质岩及白云岩层间破碎带中赋存少量锑矿。

    矿体严格受观音堂鼻状背斜及2组断裂构造控制,在有利的虚脱空间容矿。锑矿体均分布于宽缓背斜的轴部及两翼,2组容矿断裂为NE走向缓倾顺层-近顺层裂隙(Ⅰ~Ⅻ号矿体)及NWW走向陡倾张性断裂(赋存~号矿体)。

    其中前者走向30°~60°,倾向SE,倾角44°~66°,往往以斜列式成组出现,结构面常呈舒缓光滑波状,部分裂面可见擦痕,表现为压扭及张扭性特征。辉锑矿充填裂隙,裂隙产状由陡变缓处,矿体厚度5~10 cm,呈小透镜体状;裂隙陡倾斜处矿体厚度小,呈薄膜状,按构造类型及特征可进一步细分为4种类型:①张性裂隙型,与主构造线方向平行或直交,属纵张、横张裂隙,裂面粗糙不平,延长不远,多充填囊状、团块状辉锑矿;②剪性裂隙型,与主构造线方向斜交,裂面紧闭平直,辉锑矿多呈稀疏放射状出现于裂面;③层间滑动构造面型,出现于观音堂鼻状背斜倾伏端北西翼次级构造上,辉锑矿沿牛蹄塘组与留茶坡组接触界面,充填于层间滑动面上及其附近的硅质岩层的裂隙中;④层间构造裂隙型,发育于背斜轴部附近,留茶坡组硅质岩及金家洞组厚层状白云岩中,裂隙面产状与层理面斜交或直交。以张性裂隙为主,兼有压性构造。辉锑矿充填于裂隙中,形成“似层状”矿体。

    后者为3条隐伏断裂,走向约265°~290°,延长约350~400 m,延深约100~150 m,呈先张后扭性质,并且错断了NE走向断裂,为晚期形成。断裂中间膨大,两端尖灭,与NE向断裂交汇处宽度最大,达7~10 m,轴部岩层垮塌形成羊角状褶皱形态,断裂延伸较为平直,破碎带发育断层泥。

    3 地球化学特征
    3.1 岩石地球化学特征

    本研究对观音堂矿区及其外围地层岩石样品进行了As、Sb、Pb、V、Cu、Zn、Ag共7种元素的岩石光谱半定量分析(表1图7),结果显示:

    (1) 矿区外围地层岩石中V、Zn、Cu三种元素的含量变化较为显著。其中V元素在牛蹄塘组黑色碳质页岩中含量最高,w(V)最大值达1551×10-6,而在其他各类岩石w(V)主要范围为5×10-6~50×1-6。Zn在金家洞组白云岩及洪江组顶部冰碛砾、泥岩中含量最高,w(Zn)分别为2775×10-6和5500×10-6,其次是牛蹄塘组黑色碳质页岩,w(Zn)为219×10-6,其他岩石w(Zn)均低于77×10-6。在牛蹄塘组碳质页岩及金家洞组白云岩/碳质板岩中的w(Cu)分别为126×10-6、210×10-6,而在其他岩石中w(Cu)仅为7×10-6~45×10-6。矿区外围各地层岩石中As、Ag、Pb三种元素的含量相对较低且变化不大,w(Sb)为0~60×10-6,变化幅度也较小。

    (2) 矿区岩石样品中V、Sb、Zn这3种元素的含量变化则较为显著。w(V)在牛蹄塘组黑色碳质页岩中高达1142×10-6,而金家洞组白云岩中w(V)为7×10-6。Sb元素在白云岩、硅质岩中含量最高,w(Sb)分别为2110×10-6和1303×10-6,而在冰碛岩和黑色碳质页岩中w(Sb)分别为0和18×10-6。w(Zn)在黑色碳质页岩中最高为1882×10-6,其他各类岩石中w(Zn)为67×10-6~363×10-6。As、Pb、Cu、Ag等其他元素的含量变化相对较小,但黑色页岩相较于其他岩层,Cu和Ag的含量则略高(表1)。

    (3) 进一步分析发现,Zn、Sb元素在矿区外围与矿区的震旦系留茶坡组硅质岩中的分布存在明显差异,Zn元素丰度分别为56×10-6和171×10-6,Sb元素丰度分别为52×10-6和1303×10-6。此外,Zn、Sb元素在矿区外围与矿区的震旦系金家洞组白云质/碳质板岩中的分布也显示出明显差异,Zn元素丰度分别为75×10-6和363×10-6,Sb元素丰度分别为8×10-6和102×10-6。上述结果表明,Zn异常与Sb异常之间存在良好的正相关性,因此Zn异常对于观音堂锑矿床的找矿勘查具有重要指示意义。

    综上,元素含量较高的地层主要集中在震旦系留茶坡组、金家洞组和寒武系下统牛蹄塘组。震旦系下统金家洞组中Pb、Zn、Cu的含量总体较高,矿区内As、Sb、Pb、Zn明显富集;震旦系上统留茶坡组硅质岩中As、Sb含量较高,矿区Sb、Zn相对矿区外围岩层含量偏高,说明矿区内该2种元素明显富集;而寒武系下统牛蹄塘组黑色碳质页岩则是多种元素集中分布的岩层,V、Zn、Cu含量较高;Ag含量低,但相较于其他岩层含量却明显偏高(表1图7)。

    3.2 水系沉积物地球化学特征

    (1)水系沉积物样品采集与测试方法

    采样点主要部署一级水系中,采样点密度为4.22点/km2。样品介质以淤泥和粉砂为主,采样粒级为-10~+80目。共采集基本样品7678个,由自然资源部长沙矿产资源监督检测中心测试,分析了Au、Ag、Cu、Pb、Zn、As、Sb、Bi、Hg、Cd、Sn、W、Mo、Cr、Ni、Co共16个元素,利用ICP-MS光谱法测试W、Mo、Cd、Cr、Co、Ni、Cu、Pb、Zn,采用AFS光谱法测试As、Sb、Bi、Hg,发射光谱法分析Ag、Sn,石墨炉-AAS法分析Au,各元素测试结果报出率大于99%。

    (2)元素地球化学异常

    董家河地区1∶5万水系沉积物测量圈定的AS23综合异常,面积约12.8 km2,主要异常元素有Sb、Ag,其次为As、Au、Zn、Hg、Cd、Mo、Sn、Cu等,呈NE向长条状分布于洪江组、金家洞组、留茶坡组及牛蹄塘组中,并与NE向断裂方向一致,分布于NE向断裂北西盘。Sb、Ag、Cd、Zn异常具有内、中、外三级浓度分带,异常套合性好,与已知观音堂锑矿吻合(图7),Mo、As异常具有内、外两级浓度分带,Hg具有一级浓度分带图8a~h。整体上,Sb的异常规模和衬度值远大于其他元素,显示异常区以锑矿化为主。Sb背景值3.5×10-6,异常下限15.0×10-6,异常峰值为31 944.0×10-6,平均值为1215.7×10-6。反映Sb异常强度很高。Sb异常面积为8.18 km2,其分布范围较大,该异常由锑矿化所引起(邹源等,2016)(表2图8a、b)。

    3.3 土壤地球化学特征
    3.3.1 土壤地球化学剖面测量及元素亲缘性分析

    在矿区南部对观音堂锑矿区水系沉积物测量中Sb、Ag、As、Cd、Zn元素异常套合较好的赔机冲地段开展土壤地球化学剖面测量工作,采用迭代法对不同地层中510个样品Au、Cu、Pb、Zn、As、Sb、Hg、W、Mo、Bi等11种元素测试数据分析处理(表3),圈定单元素异常Sb-8处,As-7处,Cd-5处,Cu-7处,Hg-10处,Mo-5处,W-2处,Zn-6处,Au、Pb、Bi只有单点异常故未圈定。

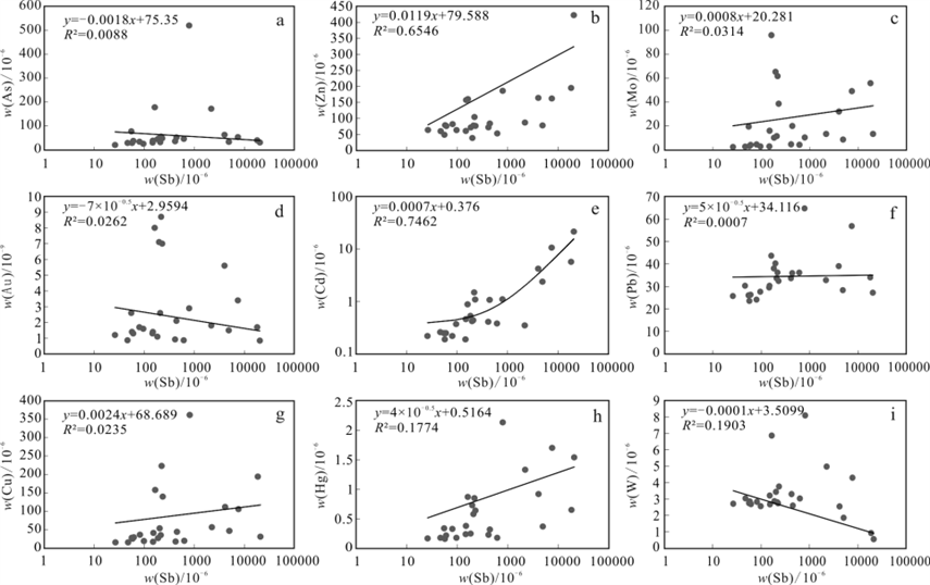
    这11种元素涵盖了高温元素到中低温元素,为查明它们与主成矿元素Sb的耦合/解耦关系,剔除采矿区垮塌处可能污染的高值后,使用SPSS软件利用常规方法对元素亲缘性进行R型聚类分析(图9)。当选取>0.55的相关系数时,可以将元素划分为3个集簇,即Bi、Pb,Hg、W、As,Cd、Sb、Cu、Zn三组。说明主成矿元素Sb与Cd、Cu、Zn三种元素具有高亲缘性。

    为对比异常分布规律,设计土壤地化综合剖面15号线穿切矿脉及主要含矿层位并绘制地化综合剖面图以观察Sb与其他元素相关性以及矿脉顶部地化异常规律(图10a、b)。15号线穿越地层分别为震旦系留茶坡组硅质岩、寒武系牛蹄塘组黑色碳质页岩,留茶坡组及矿脉正上方的牛蹄塘组盖层显示了突出的异常,越过矿脉后,牛蹄塘组中元素分布没有明显异常,显示异常主要与不同地层中的裂隙发育程度相关,硅质岩为硬质岩,裂隙大,黑色碳质页岩为软质岩,层间揉皱发育而裂隙不发育,因此留茶坡组异常高而牛蹄塘组异常弱。通过Sb与其他元素相关性图分析(图11a~i),Cd、Zn元素与Sb元素呈较好的正相关性,R2分别为0.75和0.65,与其他元素未呈现明显的相关性。

    综合分析,确定致矿元素集簇为Sb、Cd、Zn;当Sb具有高异常值或具有浓度分带,并与Cd、Zn高异常叠加时,具有相对较好的找矿潜力。

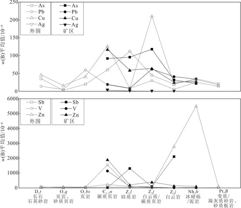
    3.3.2 土壤地化组合异常

    以Sb为主攻找矿元素,结合Cd、Zn元素制作组合异常图(图2)。异常整体形态主要分布于热液元素运移通道-深大断裂,F2断裂北盘以及F4断裂北盘;NNW向F8断裂通过处AS-3元素异常明显,南东延伸越过赔机冲背斜核部后,存在AS-4异常;F9断裂SE向延伸处AS-1异常浓集。

    AS-1组合异常:Sb1异常具有内、中、外三级浓度分带,Sb峰值为2198×10-6,与Cd1、Zn1异常套合较好,Cd元素异常具有二级浓度分带;LD12、LD19位于该组合异常南西缘。

    AS-2组合异常:Sb6峰值272×10-6,具有三级浓度分带,与Zn6、Cd4异常套合较好,F7北西段处于异常南端,异常西侧未封边。

    AS-3组合异常:位于F8断裂两侧,地貌为沟谷;Sb4异常具有三级浓度分带,峰值641×10-6;Zn5、Cd2异常套合于Sb4北侧的F8断裂通过处,但浓集分布分散错动。

    AS-4组合异常:Sb7峰值239×10-6,与Cd5、Zn4异常套合较好,Cd具有二级浓度分带。LD10位于该组合异常南东缘。

    4 找矿模型建立及远景分析
    4.1 观音堂型锑矿综合找矿模型

    渣滓溪锑成矿带成矿地质条件有利,分布锑矿床(点)众多。震旦系留茶坡组和金家洞组是主要赋矿层位,是重要层位标志;厚层硅质岩及白云岩为锑产出的直接岩性标志。NE向顺层/近顺层断裂或NWW向张性断裂叠加宽缓背斜轴部,为矿体赋存提供有利存储空间,是主要的控矿构造标志。辉锑矿是主要的有用矿物,当与方解石共生产出,表明具备足够的赋存空间,是富矿体出现的重要标志。热液作用引起的褪色化、硅化、碳酸盐化及硅质岩的石墨化是寻找锑矿体最有效标志,尤其是硅化、褪色化是寻找锑矿最直接的标志。

    对比矿区与矿区外围岩石地球化学异常,显示矿区地层显著富集Sb,金家洞组同时相对富集As、Pb,留茶坡组同时相对富集Zn,表明含矿热液中Sb在矿区岩石中富集,这是成矿的基础。分散流地球化学异常显示,高异常元素Sb、Ag,Sb峰值极高,异常规模极大,且叠加Cd、Zn高值异常,这些元素的分散流异常可作为找矿直接标志。土壤地球化学特征显示Sb与Cd、Zn元素亲缘性较好,呈较好正相关性,Sb高异常及与Cd、Zn元素套合情况具有指示硅质岩找锑的意义。本次研究建立了矿床综合找矿模型(表4)。

    4.2 外围远景分析

    区域尺度看,观音堂鼻状背斜沿NE向呈约8°~15°低角度倾伏,插入牛蹄塘组碳质页岩盖层之下,因此,现存矿脉的北东部溜溪坑必然具有最大成矿潜力,NWW向张性断裂很可能大致等间距排布。宽缓背斜轴部向NE方向延伸处,叠加地形地貌陡变(向NE方向跌落)处,以及地表出露断层、石英脉、方解石脉处,是精准找矿的目标(图2)。

    矿区南东部赔机冲背斜亦是良好的找矿远景区。水系沉积物Sb与Cd、Zn、Ag等元素异常叠加呈NE向展布,显示了NE向断裂构造对地球化学异常的控制影响;结合区域上对锑矿的研究(Fan et al., 2004, Zeng et al., 2017; Li et al., 2018),本区锑矿为中低温热液型,锑等成矿物质通过流体运移至有利部位沉淀成矿,而运移通道多数查明为NE向沟通壳幔的深大断裂及其次级规模性断裂。观音堂矿区NE向区域性断裂有F1、F2、F4断裂(图2),其中F1断裂规模较小,对两盘地层的错动不明显,且进入牛蹄塘组碳质页岩时转化为层间揉皱;F2断裂规模较大,断裂两盘地形差异较大,地层变化明显,向NE向延伸进入牛蹄塘组,错断了赔机冲背斜北翼,下盘见老硐采空区;F4断裂规模中等,两盘地层从五强溪组跨越到牛蹄塘组,推覆距离较长,断裂通过处有2处老硐;因此判断F2、F4断裂有较大可能为本区主导矿构造,二者在深部可能汇聚,观音堂锑矿的矿质来源有较大可能来自F2断裂,这要求必须有至少1条NWW向断裂沟通F2断裂。因此,推断NW向断裂通过痕迹可以良好地指导远景区。

    根据Sb-Cd-Zn元素组合圈定了AS-1~AS-4四个地土壤球化学组合异常,较为精确地反映了土壤地化特征,按照潜力从大到小分别评述成矿潜力:

    AS-3异常Sb与Cd、Zn元素异常套合较好,Sb异常峰值高,且组合异常与NNW走向F8断裂叠合,F8断裂往走向延伸与��、矿脉延伸位置一致,推断F8断裂及其北西延伸方向有可能存在较好的容矿空间,是沟通导矿构造F2的通道,具有较大的NW向矿脉找矿潜力;

    AS-1异常Sb与Cd、Zn异常套合较好,Sb异常峰值高,组合异常位于赔机冲背斜拐入牛蹄塘组碳质页岩中,有F2断裂通过,异常浓集中心位于断裂上盘留茶坡组硅质岩,旁侧见采矿遗迹,具有相对好的NE向矿脉找矿前景;

    AS-4异常元素套合好,异常规模相对较大,叠合赔机冲背斜南翼的金家洞组、留茶坡组,南东存在老硐,具有一定的NE向矿脉找矿潜力;

    AS-2异常规模中等,西侧未封边,Sb异常与Cd、Zn元素叠合较好,但Sb异常峰值中等,组合异常主要叠合地层留茶坡组,未见明显断裂通过异常区,根据异常走向推断可能存在NE走向矿脉,成矿潜力一般。

    5 结 论

    (1) 观音堂锑矿是雪峰弧形成矿带中段渣滓溪锑成矿带,赋存于震旦系硅质岩中的典型裂隙充填型锑矿,受宽缓背斜、NE向顺层断裂以及NWW向陡倾张性断裂控制,靠近断裂的层间裂隙空间容矿,其中NE向区域性断裂导矿,NE向次级断裂以及NWW向断裂容矿。因此,横切NE向断裂的NWW向张性断裂对周缘锑矿勘查具有新的指导意义,良好的虚脱空间可能有巨大的成矿潜力。

    (2) 观音堂锑矿区震旦系中Sb含量高,比外围地层明显富集,留茶坡组硅质岩中Zn亦富集,金家洞组白云质/碳质板岩As、Pb、Zn表现为富集趋势;水系沉积物Sb、Ag、As、Cd、Zn、Mo、Hg元素异常套合性好,尤其是Sb、Ag、Cd、Zn等元素;土壤地球化学异常显示,Sb异常浓度高,Sb与Cd、Zn元素亲缘性较好。Sb、Cd、Zn致矿元素异常组合对寻找锑矿具有良好指示作用。

    (3) 矿区北东部溜溪坑以及南东部的赔机冲背斜具有良好找矿远景,地化组合异常AS-3显示NW向锑矿脉具有较大成矿潜力,而AS-1对于寻找NE向矿脉具有良好成矿潜力;AS-4、AS-2地化组合异常带可寻找NE向矿脉,但找矿潜力不如前两者。

    表1 湖南溆浦县观音堂锑矿区及外围各地层岩石元素平均值(w(B)/10-6)
    Table 1 Average trace element values (w(B)/10-6) of wall rocks in and around the Guanyintang antimony deposit area in Xupu County, Hunan Province

    项目

    泥盆系跳马

    涧组(D2t)

    奥陶系桥亭

    子组(O1q)

    奥陶系白水

    溪组(O1bs)

    寒武系牛蹄

    塘组(Є1-2n)


    震旦系留

    茶坡组(Z2l)

    震旦系金家

    洞组(Z1j)

    南华系洪

    江组(Nh2h)

    元古界板溪

    群(Pt3B)

    长石石英

    砂岩


    页岩、砂质

    页岩


    页岩


    碳质页岩

    硅质岩


    白云质/碳质板岩

    白云岩


    冰碛砾/

    泥岩


    变质/凝灰质砂岩、

    砂质板岩

    位置

    外围

    外围

    外围

    外围

    矿区

    外围

    矿区

    外围

    矿区

    外围

    矿区

    外围

    矿区

    外围

    样数/个

    2

    1

    1

    46

    18

    45

    66

    2

    32

    2

    33

    1

    18

    9

    As

    35

    0

    20

    60

    92

    112

    96

    45

    118

    20

    32

    35

    22

    21

    Sb

    60

    10

    30

    50

    18

    52

    1303

    8

    102

    2110

    0

    Pb

    14

    5

    60

    18

    19

    8

    8

    30

    62

    6

    41

    25

    34

    14

    V

    50

    30

    45

    1551

    1142

    35

    129

    38

    49

    5

    7

    5

    33

    20

    Cu

    45

    15

    40

    126

    117

    7

    59

    210

    65

    20

    25

    32

    28

    16

    Zn

    40

    75

    50

    219

    1882

    56

    171

    75

    363

    2775

    118

    5500

    67

    69

    Ag

    1.96

    3.2

    0.59

    0.6

    0.4

    0.3

    0.14

    注:“—”代表未检测。
    表3湖南溆浦县观音堂锑矿区土壤地球化学测量元素异常下限及背景值
    Table 3 Lower limit and background values of element anomaly for soil geochemical survey covering the Guanyintang antimony deposit area, Xupu County, Hunan Province

    序号

    元素

    样品数/个

    X

    Sd

    K

    Ca=X+KSd

    迭代次数

    1

    As

    479

    32.2

    17.6

    2.0

    67.5

    8

    2

    Au

    496

    1.9

    1.3

    2.0

    4.5

    5

    3

    Bi

    510

    0.6

    0.2

    2.0

    0.9

    4

    4

    Cd

    487

    0.4

    0.2

    2.0

    0.8

    10

    5

    Cu

    503

    41.9

    25.9

    2.0

    93.7

    4

    6

    Hg

    494

    0.4

    0.2

    2.0

    0.8

    5

    7

    Mo

    480

    8

    11

    2.0

    28.9

    3

    8

    Pb

    516

    33.2

    8.8

    2.0

    50.7

    2

    9

    Sb

    484

    36.6

    24.9

    2.0

    86.3

    7

    10

    W

    480

    2.3

    0.7

    2.0

    3.8

    7

    11

    Zn

    506

    82.7

    36.6

    2.0

    155.9

    4

    注:X为算术平均值,sd为离差,K为取值系数,Ca为异常下限;含量单位:Au为 10,其余元素为10。
    表4观音堂型锑矿综合找矿模型信息表
    Table 4 Summary table of the integrated prospecting model for the Guanyintang antimony deposit

    找矿标志类别

    特征

    要素评价

    地质背景

    区域构造位置

    渣滓溪锑成矿带

    重要

    矿床地质

    地层岩性

    留茶坡组厚层硅质岩或金家洞组白云岩

    必要

    构造

    NE向顺层/近顺层断裂叠加背斜轴部,NWW向张性断裂叠加背斜轴部

    必要

    矿化特征

    辉锑矿

    必要

    围岩蚀变

    褪色化、硅化、碳酸盐化、石墨化

    重要

    地球化学

    岩石光谱

    Sb高值

    必要

    水系沉积物

    Sb高值分散流

    必要

    Zn、Cd、Ag等叠加高值异常

    重要

    土壤

    Sb高值异常

    必要

    Cd、Zn高值叠加晕

    重要

    表2 湖南溆浦县观音堂锑矿分散流地球化学特征
    Table 2 Stream sediment geochemical characteristics of the Guanyintang antimony deposit in Xupu County, Hunan Province

    元素

    面积/km2

    含量范围

    极大值

    平均值

    背景值

    衬度*

    异常规模**

    Sb

    8.18

    15~31944.0

    31944.0

    1215.7

    3.6

    337.69

    2762.3

    As

    6.39

    60~257.85

    257.85

    106.3

    16.5

    6.44

    41.2

    Cd

    4.16

    3.0~25.73

    25.73

    6.466

    0.54

    11.97

    49.8

    Ag

    7.48

    0.4~3.21

    3.21

    1.14

    0.088

    12.95

    96.9

    Au

    0.35

    4~9.74

    9.74

    7.74

    1.26

    6.14

    2.2

    Zn

    3.46

    180~1095.0

    1095.0

    349.9

    92.7

    3.77

    13.1

    Cu

    0.69

    70~199.6

    199.6

    107.86

    27.8

    3.88

    2.7

    Mo

    4.3

    30~105.6

    105.6

    59.35

    2.56

    23.18

    99.7

    Sn

    0.35

    6.0~15.3

    15.3

    14.55

    2.9

    5.02

    1.8

    Hg

    0.84

    0.5~1.012

    1.012

    0.813

    0.11

    7.39

    6.2

    注:含量单位:Au为10-9,其他元素为10-6;衬度*为平均值与工作区背景值之比,为无量纲数据;异常规模**为与衬度之乘积,其单位为km2。数据来源于邹源等,2016。

    图1区域地质图及锑-钨-金矿床分布图(据柏道远等,2021修改)断裂名称:F1—慈利-保靖断裂;F2—保靖-铜仁断裂;F3—古丈-吉首断裂;F4—怀化-沃溪断裂;F5—溆浦-靖州断裂;F6—通道-江口断裂;F7—城步-江口断裂;F8—城步-新化断裂;F9—公田-灰汤-新宁断裂

    Fig. 1 Regional geological map and distribution of Sb-W-Au deposits (modified after Bai et al., 2021)Fault name: F1—Cili-Baojing fault; F2—Baojing-Tongren fault; F3—Guzhang-Jishou fault; F4—Huaihua- Woxi fault; F5—Xupu-Jingzhou fault;F6—Tongdao-Jiangkou fault; F7—Chengbu-Jiangkou fault; F8—Chengbu-Xinhua fault; F9—Gongtian-Huitang-Xinning fault

    图2观音堂锑矿床综合地质图

    Fig. 2 Comprehensive geological map of the Guanyintang antimony deposit

    图3观音堂锑矿床矿区野外构造特征a. F2岩石硅化;b、c. F4岩石破碎、褪色化;d.二色溪背斜次级褶皱;e.红脉溪向斜特征;f.观音堂背斜次级褶皱;g.牛蹄塘组中“X”型节理;h.张性裂隙面-粗糙-充填团块状辉锑矿;i.剪性裂隙面-平直-充填放射状辉锑矿

    Fig. 3 Field structural characteristics of the Guanyintang antimony deposita. Silicified rock of F2; b, c. Rock fragmentation and bleaching of F4; d. Secondary fold of the Ersexi anticline; e. Characteristics of the Hongmaixi syncline; f. Secondary fold of the Guanyintang anticline; g. X-shaped joint of the Niutitang Formation; h. Rough tensional fracture surface filled with nodular stibnite; i. Straight shear fracture surface filled with radiating stibnite

    图4矿区工程分布简图(a)和矿区3号勘探线剖面图(b)

    Fig. 4 Schematic map showing the distribution of exploration lines and drill holes in the deposit area (a) and section map at exploration line 3 through the deposit area (b)

    图5观音堂锑矿床锑矿体特征 a.石英-辉锑矿脉呈不规则状或囊状产出;b.铅灰色辉锑矿沿裂隙充填,呈细脉状;c.淡黄色放射状辉锑矿(原生矿氧化形成锑华)附着裂隙面;d.破碎带中铅灰色辉锑矿,矿石呈致密块状


    Fig. 5 Characteristics of antimony ore bodies of the Guanyintang antimony deposit a. Quartz-stibnite veins exhibit irregular to podiform occurrences; b. Lead-gray stibnite occurs as fracture-filling veinlets; c. ‌Pale yellow radiating stibnite (‌primary ore undergoes oxidation to form valentinite‌) coats fracture surfaces; d. Lead-gray stibnite in the fracture zone forms massive ore


    图6湖南溆浦县观音堂锑矿床矿石特征 a、b半氧化辉锑矿石,由淡黄色锑华(氧化锑矿)及铅灰色原生辉锑矿组成;c、d.原生辉锑矿呈铅灰色,与方解石共生,呈团块状;e.辉锑矿充填白云岩裂隙中;f.辉锑矿与石英共生,充填于硅质岩裂隙中


    Fig. 6 Characteristics of ores from the Guanyintang antimony deposit in Xupu County, Hunan Province a, b Semi-oxidized stibnite ore, composed of pale yellow valentinite (oxidized antimony mineral) and lead-gray primary stibnite; c, d ‌Lead-gray primary stibnite , intergrown with calcite, occurs as massive aggregates; e. ‌Stibnite fills fractures within dolomite; f. Stibnite intergrown with quartz fills fractures within siliceous rock


    图7湖南溆浦县观音堂锑矿区及外围岩石元素地球化学特征

    Fig. 7 Trace element geochemical characteristics of strata rocks in and around the Guanyintang antimony deposit area in Xupu County, Hunan Province

    图8湖南溆浦县观音堂锑矿区水系沉积物测量AS23异常图 a.水系沉积物综合异常AS23范围地质图;b. Sb元素异常分布;c. Mo元素异常分布;d. Ag元素异常分布;e. Cd元素异常分布;f. As元素异常分布;g. Zn元素异常分布;h. Hg元素异常分布

    Fig. 8 AS23 anomaly characteristics of stream sediment sampling covering the Guanyintang antimony deposit area in Xupu County, Hunan Province  a. Geological map of ‌AS23 stream sediment integrated anomaly; b. Antimony (Sb) anomaly distribution; c. Molybdenum (Mo) anomaly distribution; d. Silver (Ag) anomaly distribution; e. Cadmium (Cd) anomaly distribution; f. Arsenic (As) anomaly distribution; g. Zinc (Zn) anomaly distribution; h. Mercury (Hg) anomaly distribution

    图9观音堂锑矿区土壤样品R型聚类分析

    Fig. 9Rcluster analysis of soil sampling data covering the Guanyintang antimony deposit

    图10观音堂矿区土壤剖面TP15元素含量折线图(a)和地化剖面图(b)

    Fig. 10 The element content line chart (a) and geologic section (b) of geochemical profile TP15 of the Guanyintang antimony deposit area

    图11观音堂矿区土壤元素相关性分析(a~i)

    Fig. 11 Correlation analysis of elements in soil samples from the Guanyintang antimony deposit area (a~i)

  • 参考文献

  • 参考文献

  • 您是第255750279位访问者  京ICP备05032737号-5  京公网 安备110102004559
    版权所有:《矿床地质》编辑部
    主管单位:中国科学技术协会 主办单位:中国地质学会矿床地质专业委员会 中国地质科学院矿产资源研究所
    地  址: 北京市百万庄大街26号 邮编:100037 电话:010-68327284;010-68999546 E-mail: minerald@vip.163.com
    本系统由北京勤云科技发展有限公司设计 
    手机扫一扫